
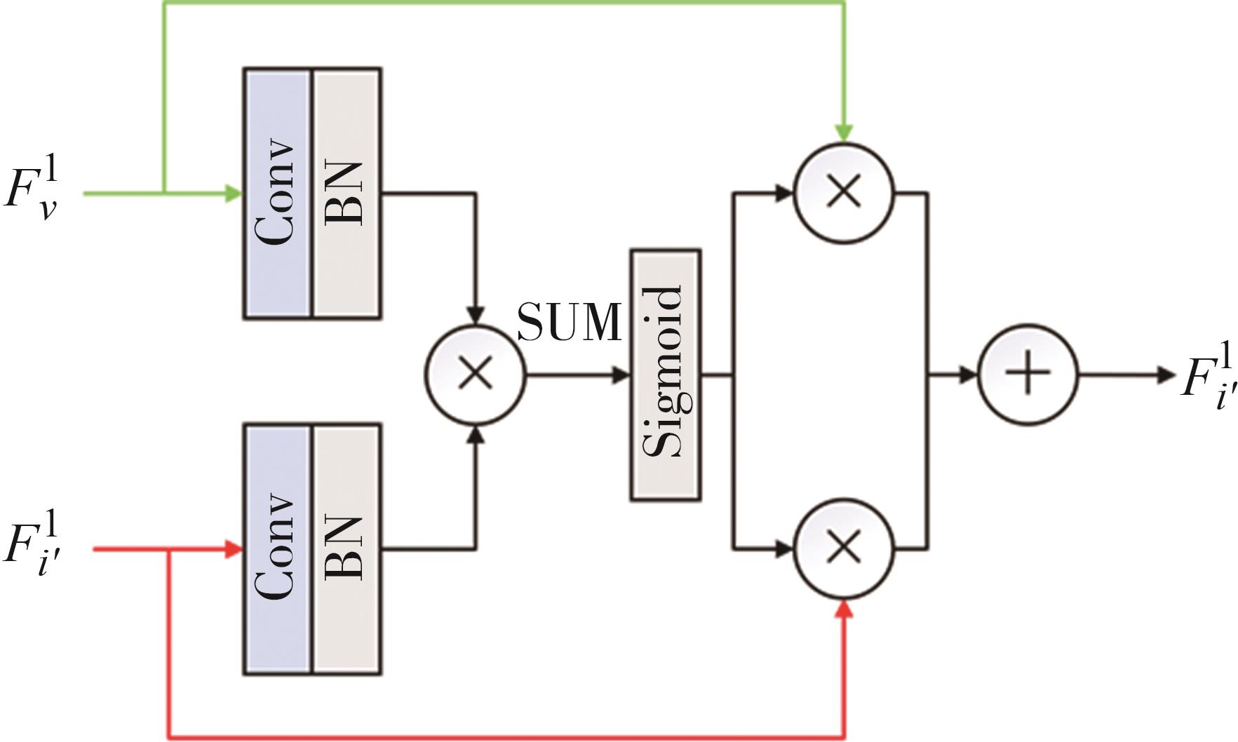
摘要:针对现有深度学习方法修复壁画过程中,未充分利用完好区域壁画语义和纹理等先验信息引导壁画修复,导致修复结果欠佳的问题,提出了一种基于语义先验和纹理增强引导的壁画修复算法.首先,设计语义先验学习模块,通过像素折叠操作将原始壁画语义特征映射到语义先验学习器,利用原始语义特征引导残缺特征修复,逐渐缩减破损语义特征与原始语义特征的差异.然后,设计纹理增强模块,通过融合上下文信息模块增强纹理细节并将其融合,完成壁画纹理特征修复.最后,设计聚合引导模块,将语义先验修复结果和纹理增强结果进行融合并解码至原始分辨率,并通过与马尔可夫判别器对抗博弈,完成破损壁画的修复.敦煌壁画数字化分类修复实验表明:所提方法在主客观评价上均优于比较算法,取得了更好的修复结果.
摘要:针对现有色调映射技术在实际应用中所面临的若干关键挑战,诸如映射结果的稳定性不足、难以兼顾图像的自然美感以及对复杂光照环境与多元场景类型的适应性有限等问题,本文提出了一种基于多模态学习的色调映射方法,旨在通过共享文本与图像的语义空间,获取跨模态监督信息,以期实现更为精准、自然且具有普适性的色调映射.借助对比文本图像大模型的文本图像匹配信息辅助模型进行无监督训练,可以有效抑制欠曝区域和过曝区域的产生,避免了生成对抗方法和对比学习中存在的训练不稳定和训练复杂等问题.实验表明所提出的色调映射方法在多个开放基准数据集上都展现出较好的效果.与现有主流色调映射算法相比,该方法在保持图像整体光照氛围的同时,能更有效地抑制过曝区域,提升欠曝区域,保留丰富的色彩细节,增强视觉层次感,且对各类光照条件及场景类型的适应性更强.同时,本文的研究工作也证实了多模态学习在底层视觉任务中的巨大潜力.
摘要:针对当前数字半色调算法处理速度慢以及半色调效果不佳的局限性,提出一种基于数据驱动的半色调框架.通过引入Gumbel-Softmax重参数化策略解决半色调离散选择带来的不可微分问题,实现了网络反向传播过程中的梯度无偏估计.为进一步强化半色调图像的效果,设计出一种新型蓝噪声损失函数,对半色调网点的分布予以优化.同时,提出区域置信度聚合模块,通过结合像素的空间相关性,使网络在训练过程中更加注重像素之间的交互信息.基于以上策略,通过优化半色调质量评估的期望值,构建了一个不需要标签引导的自监督可微分半色调处理框架.实验结果表明,所提出的方法不需要图像标签,能够在保持较高处理速度和较低参数复杂度的前提下,生成高质量的半色调图像,有效保留图像的局部结构信息和纹理细节.并且,该框架可灵活扩展至多级半色调处理,以适应多级打印喷头的需求.
摘要:在遥感影像变化检测中,基于深度学习的方法大多采用孪生网络结构.然而,大量实验发现,此类方法会出现改变输入图像的顺序后性能严重下降的现象,其中ChangeFormer方法在LEVIR-CD数据集的交并比指标下降了79.86%,表明模型的时序鲁棒性不足,严重影响变化检测模型的实用性.对此,提出了一种结合时序对齐与跨层特征混合的变化检测方法CINet(chronologic invariant network),在特征提取时设计时序对齐模块,通过对特征图进行空间混合和时序重建,在特征层面减少双分支的时序差异.然后设计了跨层特征混合模块,使用全尺度连接和差异引导来充分利用双分支中每一层级的特征图,提高在不同时序下的检测能力.最后,在LEVIR-CD数据集的实验结果显示,CINet的召回率和交并比分别达到了90.63%、84.13%,相较于ChangeFormer分别提高了1.83个百分点、1.65个百分点.在多个数据集上的实验结果也表明,即使在改变输入顺序后,所提方法仍能取得良好的变化检测结果,显示出优于其他方法的检测性能和更强的时序鲁棒性.
摘要:由于水对光的吸收作用和悬浮颗粒散射效应等因素的影响,不同场景的水下图像往往呈现出复杂且非均匀的退化特征.即使在同一张水下图像中,不同区域的退化程度也因为场景深度的不同而有所不同.现有的大多数水下图像增强模型未能针对退化图像非均匀退化的特点进行专门设计,导致增强效果不佳.为了解决这一问题,本文提出了一种基于退化分布感知的迭代式水下图像增强网络.该网络由预增强模块、退化分布估计模块和图像精细化模块三部分组成.其中,预增强模块初步估计图像的增强结果;退化分布估计模块和图像精细化模块采用迭代合作的方式对增强结果进行优化.实验结果表明,本文提出的方法在UIEB、EUVP、LSUI三个基准数据集上的视觉质量和定量指标方面均优于所比较的方法.
摘要:由于煤矿井下地形环境复杂、光照受限,视频监控设备获取的图像常存在亮度不足、对比度低、颜色失真、细节信息丢失等问题.针对上述问题,提出一种基于MCGN(multi-scale calibrated gating network,多尺度校准门控网络)煤矿井下多场景低光照图像增强算法,该算法由光照增强网络、细节增强网络、色彩矫正网络以及门控融合网络组成.首先,光照增强网络通过预点亮模块估计光照信息,在此基础上,级联具备空间增强注意力的光照增强模块,增强对遮挡区域和局部暗区的捕捉能力,随后引入自校准模块进一步提升图像整体曝光控制能力.其次,为丰富增强图像中纹理和边缘细节信息,设计多级残差结构构成细节增强网络,确保重要细节信息不丢失.再者,针对图像固有的以及增强过程中产生的颜色失真现象,构建色彩矫正网络和色彩损失函数,利用编解码结构将彩色图像解耦为颜色直方图,基于颜色直方图学习自然光颜色特征,以指导颜色分布矫正.最后,为实现三个网络输出图像有机融合,门控融合网络设计了一种新的门控机制,端到端学习最优融合权重,实现亮度增强、细节恢复和颜色矫正的有效平衡.实验结果表明,该算法在提升图像亮度、丰富纹理特征、还原真实色彩方面成效卓著.同时,该算法具有良好的多场景适用性和较快的推理速度,能满足煤矿井下实际需求,为煤矿安全生产提供有力的技术支撑.
摘要:针对红外与可见光图像融合过程中出现的细节丢失和易产生伪影等问题,本文提出了一种基于TransNeXt的融合算法.首先,通过卷积神经网络与TransNeXt对源图像进行浅层与深层特征提取,并通过信息补偿模块对红外浅层特征进行信息补偿,使其具有更多的语义信息.然后,通过基于交叉注意力的融合模块进行特征融合,它能够根据源图像不同区域的重要性调整权重以适应场景变化,提高融合结果的鲁棒性和准确性.最后,通过基于Transformer的模块进行图像重建以得到最终融合图像.此外,本文通过基于VGG19显著区域掩膜的损失函数约束融合过程,使融合结果在重要区域保留更丰富的信息.实验结果表明,与其他7种对比方法相比,本文方法的客观评价指标信息熵、标准差、差异相关性总和、峰值信噪比和像素特征互信息分别平均提高了10.92%、14.85%、24.80%、2.26%、1.30%,并且能够在保留丰富的纹理信息的同时伪影较少,具有优异的夜间灯光融合效果,在目标检测上相较对比方法也取得了更好的效果.
摘要:针对Voxel-RCNN算法在检测远处小目标以及受到遮挡的目标时检测精度不足的问题,提出了一种改进的方法,命名为CS-Voxel-RCNN.首先,通过引入随机顺序、随机丢弃和随机噪声三项数据增强方法,丰富了训练样本的多样性,从而增强了模型的鲁棒性.其次,通过在2D骨干网络中集成CBAM模块,运用通道注意力机制和空间注意力机制,对多尺度特征进行更为细致的处理,优化了特征融合效果.最后,通过新增DIoU损失分支,对原损失函数进行改进,着重强调目标边界框之间的距离信息,从而提高了目标边界框回归任务的准确性.在KITTI数据集上与一些经典的3D目标检测算法进行对比实验.结果表明,新提出的算法对比原Voxel-RCNN算法,在骑车者类的简单和困难级别上分别提升了2.91个百分点和0.87个百分点,并通过消融实验验证了各改进模块的有效性,这一系列改进方法在提高三维目标检测在现实场景中的实用性和准确性方面取得了积极的成果.
摘要:电阻抗成像(EIT)逆问题具有严重的非线性、病态性和不适定性,导致图像重建不准确.针对该问题,本文提出了一种基于多机制动态搜索(MDS)的电阻抗成像方法.首先,采用Tikhonov正则化方法获得目标区域原始电导率分布矩阵,并将其作为多机制动态搜索算法的输入信息;接着,在搜索空间中对候选解进行随机初始化,根据种群迁移和求偶行为对应的5种选择机制对电导率分布进行动态寻优,再采用目标函数计算每个个体的适应度,将适应度值最小的候选解视为最优解;然后,利用最优解对原始电导率分布进行补偿,获得最优电导率分布;最后,通过仿真和实验验证了该方法的成像效果.结果表明,本文所提方法具有最小的RMSE值,保持在0.15~0.4之间,最大的SSIM值,保持在0.55~0.85之间.与LBP、NR、Tikhonov正规化、TV和GA方法相比,本文所提方法成像质量最好,且在噪声影响下依然具有较好的性能,能够满足准确图像重建的要求.
摘要:针对轮式巡检机器人在全局路径规划时存在的路径曲折、路径贴近障碍物、搜索效率低的问题,提出一种改进的A*算法.首先,优化A*算法代价函数,提高路径精确性.其次,引入基于距离因子的视线法,减少全局路径曲折,增加路径与障碍物的安全距离.通过双向搜索策略,提高搜索效率.最后,通过准均匀B样条曲线,对全局路径进行平滑.采用栅格法对地图进行建模,并将算法应用于某氯碱化工巡检机器人现场,实验结果表明,相较于A*算法,改进的A*算法在路径安全度、路径拐点数方面均表现更优,其中,路径拐点减少79.41%.改进的A*算法规划出的全局路径更加平顺,更好地满足了轮式巡检机器人对路径规划的要求.
秦洪懋 ,,杨龙安 ,周云水 ?,张润邦 ,高铭 ,边有钢 ,
摘要:同时定位与建图(simultaneous localization and mapping, SLAM)技术在自动驾驶领域有着广泛的应用,其中精度和计算效率是SLAM最重要的两个指标.然而,传统的激光雷达里程计难以准确高效地提取关键帧,导致构建地图时包含了过多的冗余帧.此外,大多数激光里程计需要对每一帧执行帧到地图的对齐,这带来了高额的计算负担.本文提出了一种基于关键帧的双模式激光里程计与建图方法,通过计算两帧点云之间的特征相似度并将其与运动自适应阈值进行比较,提取关键帧.随后,对关键帧和非关键帧执行不同的配准算法,旨在最小化计算资源的消耗.此外,利用点的水平距离信息计算权重函数,并将其整合到加权位姿约束中.本文提出的SLAM系统在KITTI数据集和实车上进行了大量试验,KITTI序列00-10的结果显示,平移误差仅有0.56%,在旋转上的误差为0.002 1(°)/m.实时性方面,与F-LOAM相比,本文算法将平均速度提高了26.5%,比轻量级系统LeGO-LOAM更快.
摘要:芯片规模的扩大及功能的不断加强,使得芯片验证难度呈几何级数递增.对于多组合激励的功能覆盖情况,传统通用做法是依照其不同使用场景,以分片或切片形式进行统计.此类方法操作简单,但难以在随机测试下对各个配置的组合情况进行完整覆盖分析.针对该问题,提出了一种基于机器学习算法进行覆盖率快速收敛且通用性强的验证方法.该方法将各个配置激励按权重进行分解处理,对功能覆盖中的关键交叉仓进行观测,利用功能点分析不消耗仿真时间的特性,对数据集进行收集并训练,通过实际测试调整,实现了一种改进型的网络结构,可对各种激励组合情况进行覆盖率预测,并可挑选指定覆盖阈值的激励输入.仿真结果表明,与随机情况相比,该方法可显著降低仿真时间,并有效减少仿真资源占用;与其他网络结构相比,该网络收敛更为迅速,并可达到更高的预测精度.
摘要:VLIW(very long instruction word)架构的DSP在图像处理和计算机视觉等实时性应用场景得到广泛应用,高并行性的多方向Sobel算法是这些应用领域的重要算法之一,面向VLIW DSP实现和优化多方向Sobel算法具有重要意义.本文提出了基于VLIW的数据重排Im2col(image to column)加矩阵乘GEMM(general matrix multiplication)优化卷积计算的方法,并采用DMA(direct memory access)双缓冲机制实现数据传输与内核计算的并行,减少了等待数据传输的时间开销,使用该方法在FT-Matrix DSP上实现并优化了多方向Sobel算法.实验结果显示,优化后的算法相比于OpenCV图像库中算法,实现了4.96~8.76倍的加速;比TMS320C6678处理器提升了3.26~6.60倍.这些结果表明,采用VLIW架构的DSP在密集型数据处理方面具有显著优势,在VLIW DSP上实现与优化的图像检测算法具有广阔应用前景.
摘要:随着风电产业的快速发展,风电机组故障停机的比例也在上升,其中偏航系统故障尤为突出,占据了总停机时间的近三分之一(28.7%).为减少停机时间和运维费用,本文提出了一种基于SCADA数据的深度学习模型CNN-Smart_Linformer(CNN-SLinformer),用于预测风电机组偏航系统的故障发生时间.该模型通过引入动态自注意力权重计算线性投影矩阵,自适应地捕捉输入序列的变化,显著增强了模型在不同运行环境下的泛化能力.它结合了卷积神经网络(CNN)在局部特征提取的优势与SLinformer在捕捉长期依赖关系的能力.实际风电场SCADA数据的实验结果表明,CNN-SLinformer模型在偏航故障预测任务中显著提高了预测精度,Score降低至144.50,同时模型运行时间更短,为风电场提供了有效的故障预测工具.
摘要:在导弹气动参数辨识领域,传统扩展卡尔曼滤波(extended Kalman filter ,EKF)算法往往计算复杂、计算精度低,且求解系统雅各比矩阵难.针对这个问题,本文提出了一种基于SVD-CKF的战术导弹气动参数在线辨识方法.利用容积卡尔曼滤波(cubature Kalman filter ,CKF)的容积点线性化特性,避免了对雅各比矩阵的直接求解,从而降低了计算复杂度.同时,通过引入奇异值分解(singular value decomposition ,SVD)技术,有效解决了传统CKF算法中可能导致协方差矩阵负定的情况,进一步提升了滤波稳定性.仿真结果表明,在六自由度战术导弹气动参数在线辨识问题中,SVD-CKF算法展现更高的辨识精度、更快的收敛速度以及更强的鲁棒性.
摘要:以数据为驱动的深度学习结构损伤识别(structural damage identification,SDI)效果受结构复杂程度、模型构建方法及数据规模等因素影响较大.本文引入图卷积神经网络(graph convolutional neural network,GCN)以整合结构节点间的属性特征,从图的视角挖掘节点间的复杂属性关系,为SDI提供多维度学习信息.为此,设计了一种融合结构多维特征的图卷积神经网络模型(graph convolutional neural network integrating multi-dimensional features of structure,S-GCN),基于结构振动数据构造损伤特征矩阵,并通过衍生图网络,以图的节点和边表征结构节点的连接关系,构建边索引矩阵,将结构损伤状态、振动数据及节点属性等多维特征信息输入GCN进行结构损伤特征提取及预测识别,探索结构多维特征信息驱动下的GCN在损伤预测中的应用效果.通过两个钢结构验证方法的可行性及有效性,结果表明,S-GCN能够整合结构多维特征信息,对两个结构对象均实现了较高的损伤预测准确性,并展现出良好的噪声鲁棒性.进一步的对比分析显示,相较于三种非GCN模型,S-GCN能够高效地依托节点间关系快速更新节点特征并预测节点损伤状态,其损伤识别准确率、计算效率及网络各层演进过程均优于对比模型,验证了在结构损伤识别中融合结构空间特征的有效性.
杨喜 ,周睿勇 ,雷可君 ?,张耿 ,张银行 ,曹秀英 ,王仁玮
摘要:针对SαS分布噪声提出了一种基于分数低阶预处理与特征值调和平均检测相结合的频谱感知算法,该算法以分数低阶预处理接收信号样本协方差矩阵的最大特征值与特征值调和平均之差与最小特征值之比(DMHMM)作为感知判决量.该算法在预处理阶段通过分数低阶操作降低SαS分布噪声非高斯特性的影响,在检测阶段利用极值特征值与特征值调和平均设计检测判决量,检测过程避免了对噪声参数的依赖,适应范围广.在此基础上,基于Wishart矩阵特征值几何平均的矩理论,以及高维随机矩阵中最大和最小特征值渐近分布理论,针对DMHMM频谱感知算法提出了一种有效的理论判决门限计算方法,在降低理论门限计算复杂度的同时,提高了非渐近条件下SαS分布噪声中主用户信号检测结果的可靠性.Monte-Carlo仿真结果表明,所提DMHMM频谱感知算法可以获得比半盲DMGM算法更为可靠的检测判决结果,且在检测阶段无需SαS分布噪声的相关参数;由于综合利用了分数低阶预处理后取样协方差矩阵的极值特征值以及特征值调和平均信息,能够更好地反映主用户信号的变化,使得新算法具有比MME和CHME算法更优的检测效果.
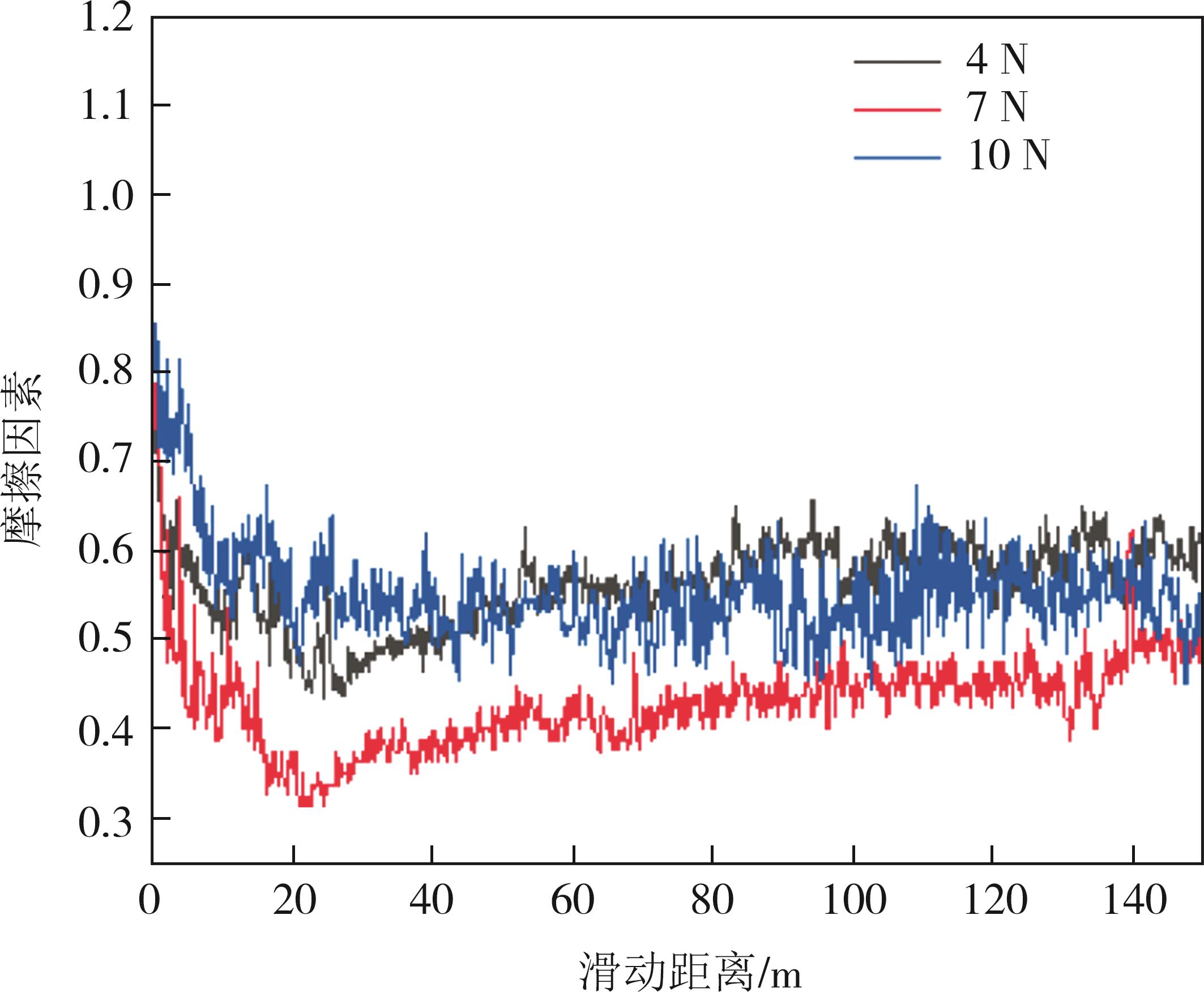
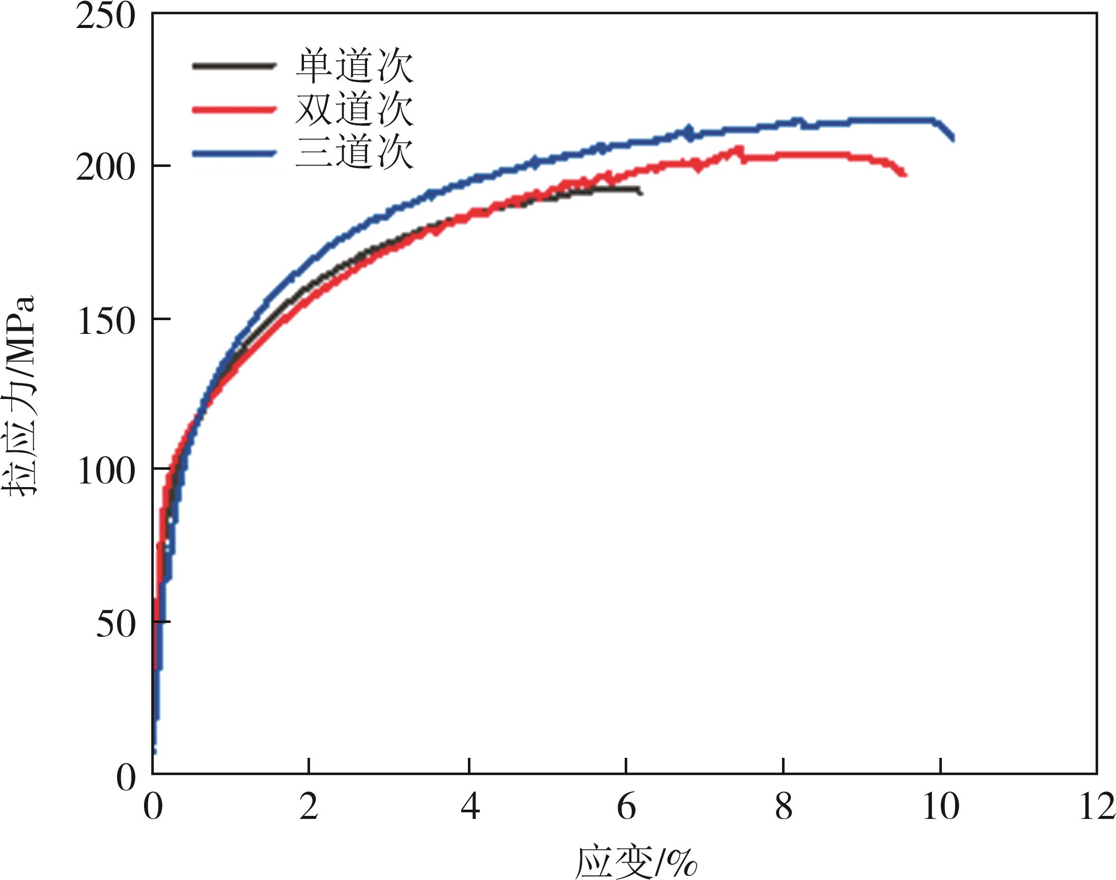
摘要:通过多道次等径角挤压工艺( ECAP )制备了铝基复合材料,通过金相、扫描电子显微镜和能谱分析对复合材料的显微组织进行了表征,并对该复合材料的力学性能、摩擦磨损性能进行了测试分析.研究结果表明,在三道次等径角挤压加工后, SiC 颗粒在铝基体中分散性较好,且晶粒细小.多道次等径角挤压工艺可以有效改善SiC颗粒在铝基体的分布和细化晶粒,从而提高复合材料的机械性能.在相同的摩擦磨损实验条件下,三道次的样品展现出优于单道次的摩擦磨损性能,这表明加工道次的增加可以改善复合材料的耐磨性.
高朋召 ?,景帅齐 ,王垣力 ,胡天隆 ,孟悦欣 ,李长泉 ,周锋 ,刘小磐 ,肖汉宁
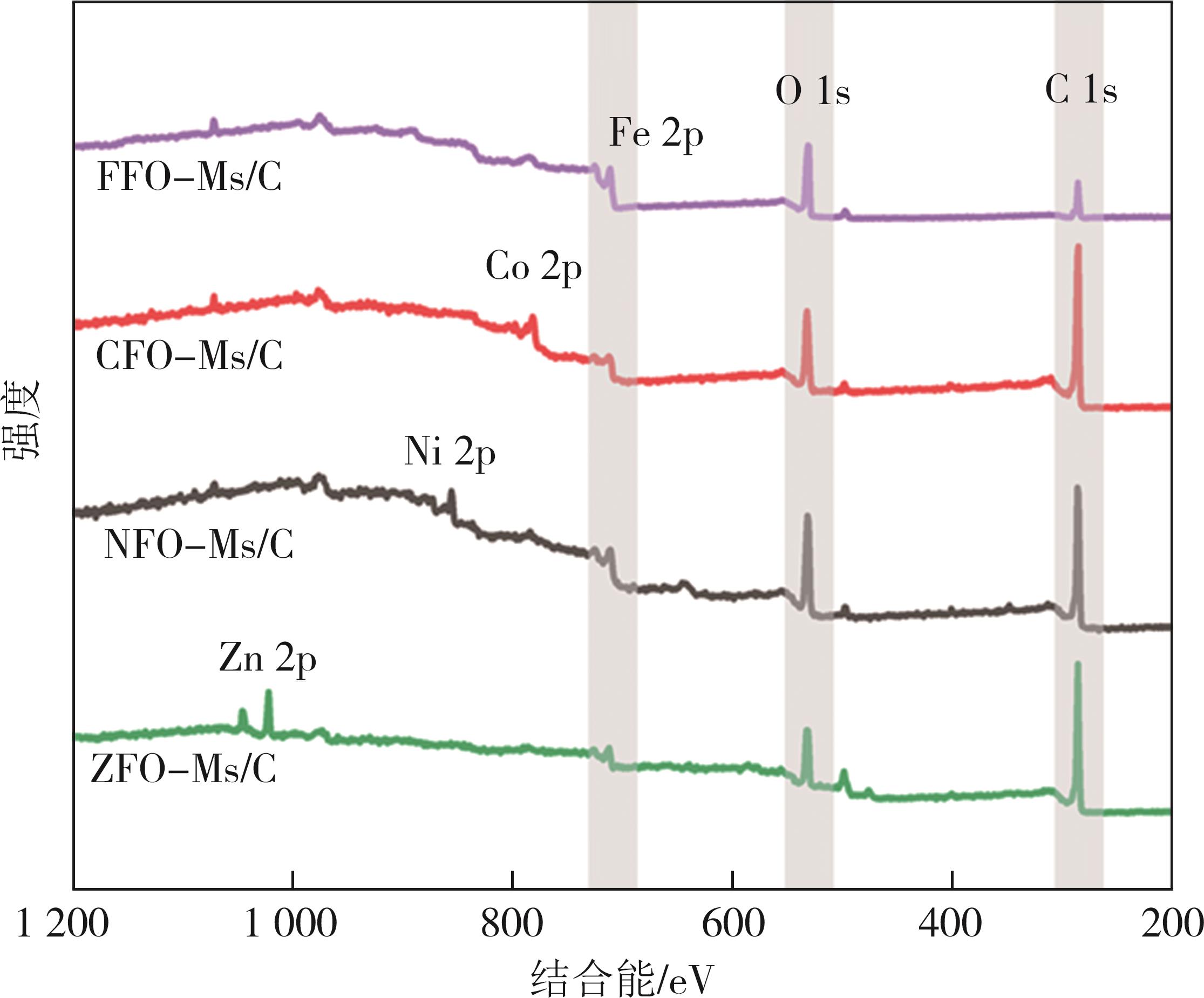
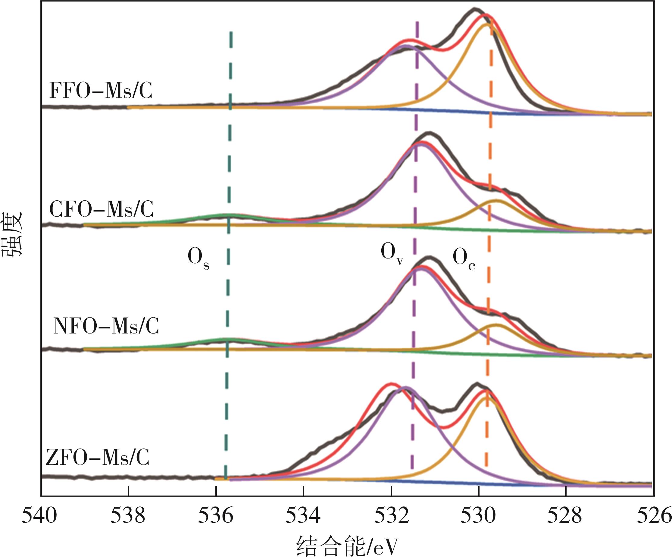
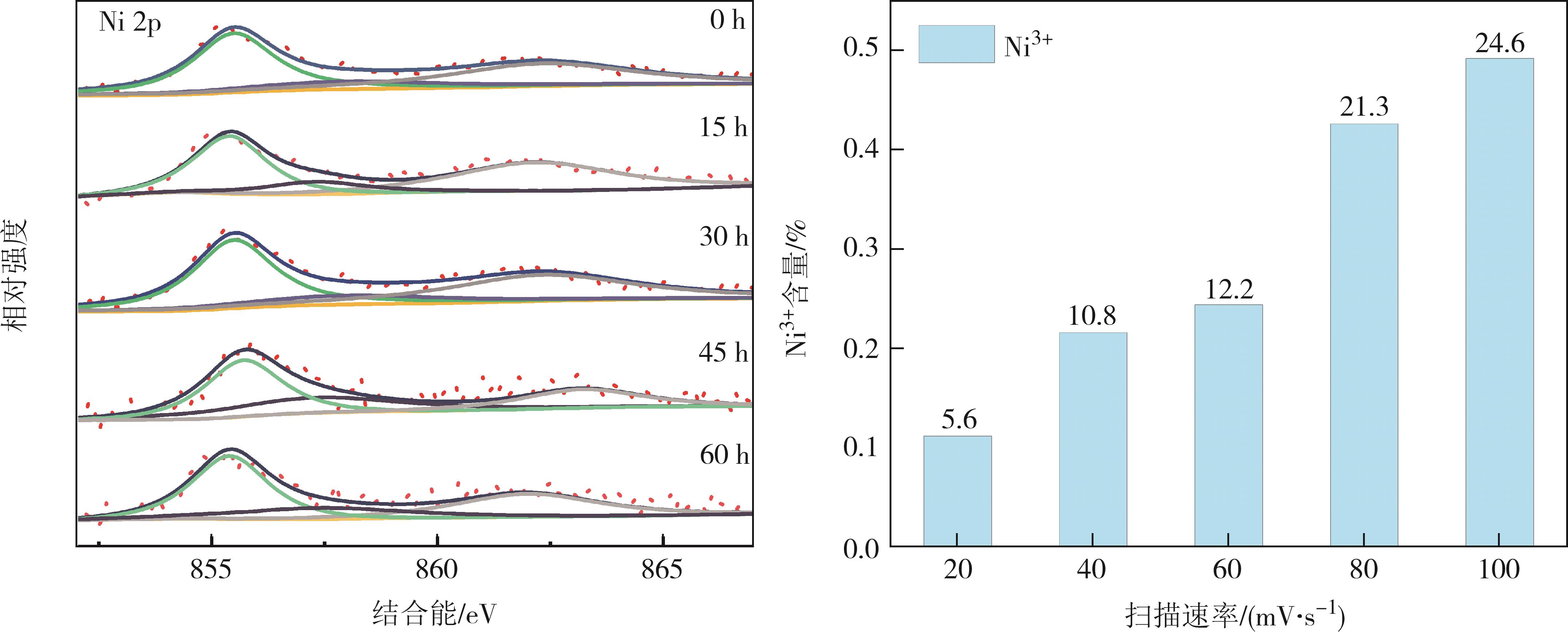
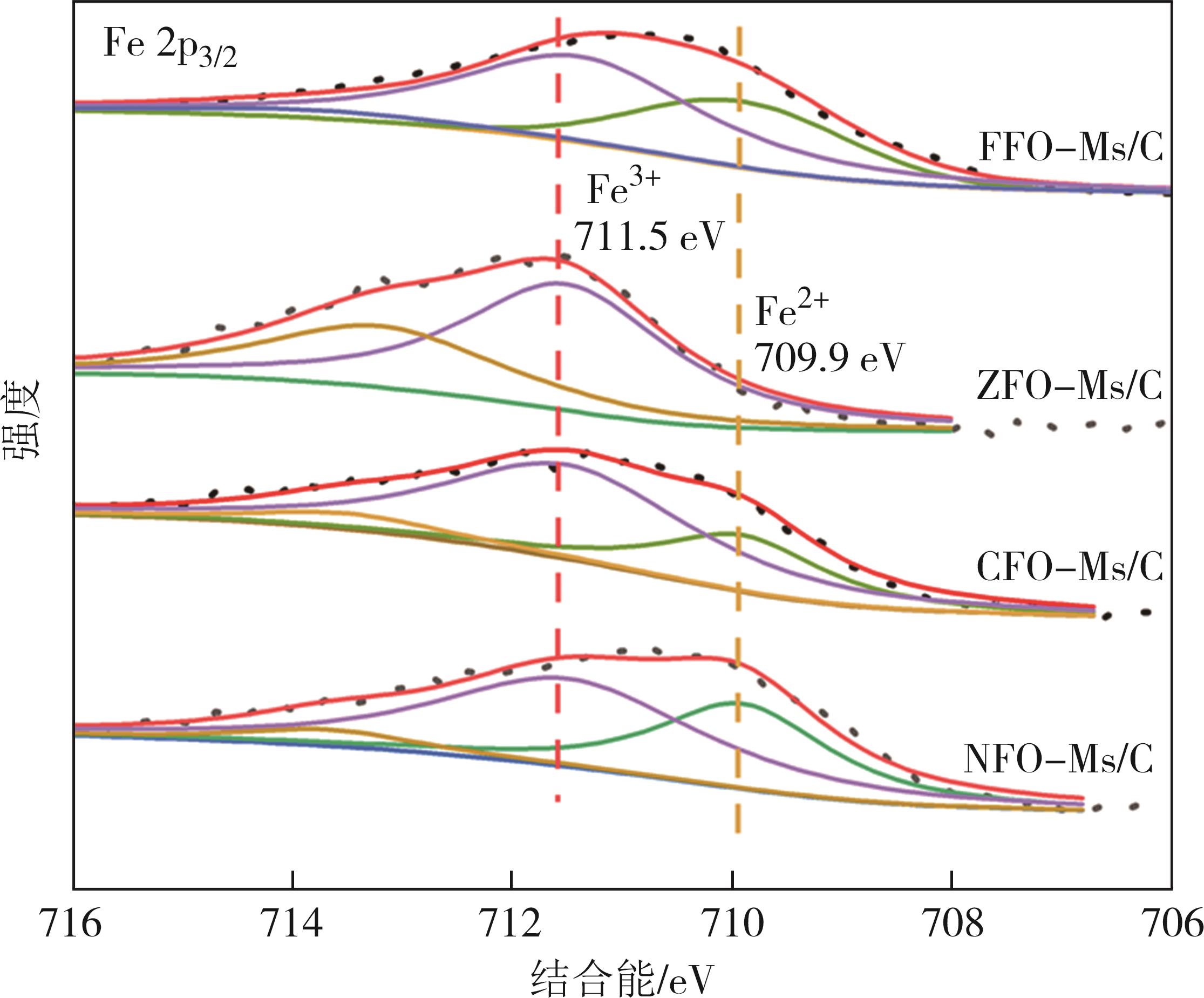
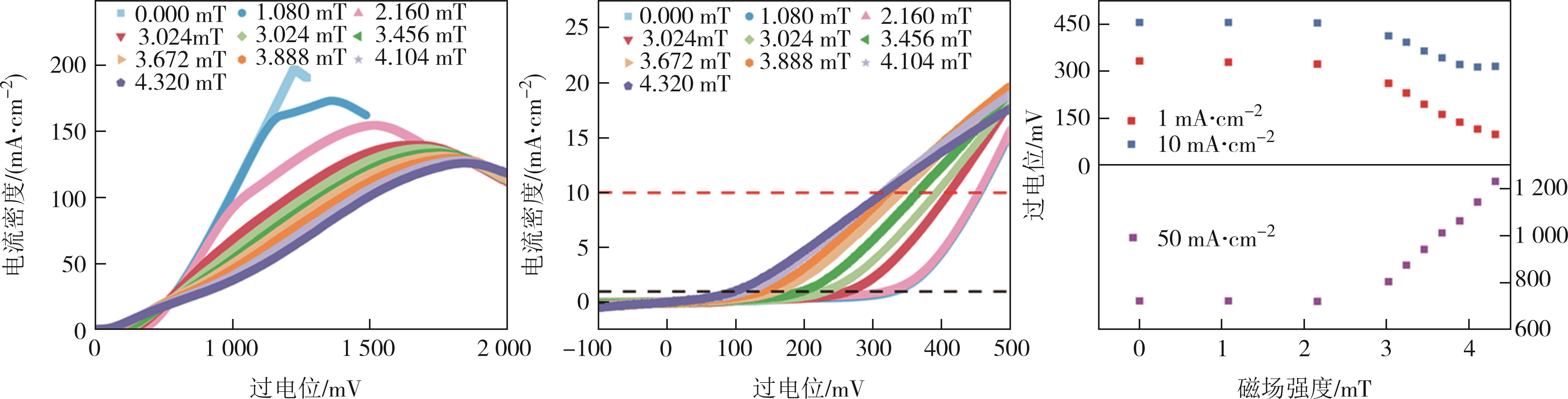
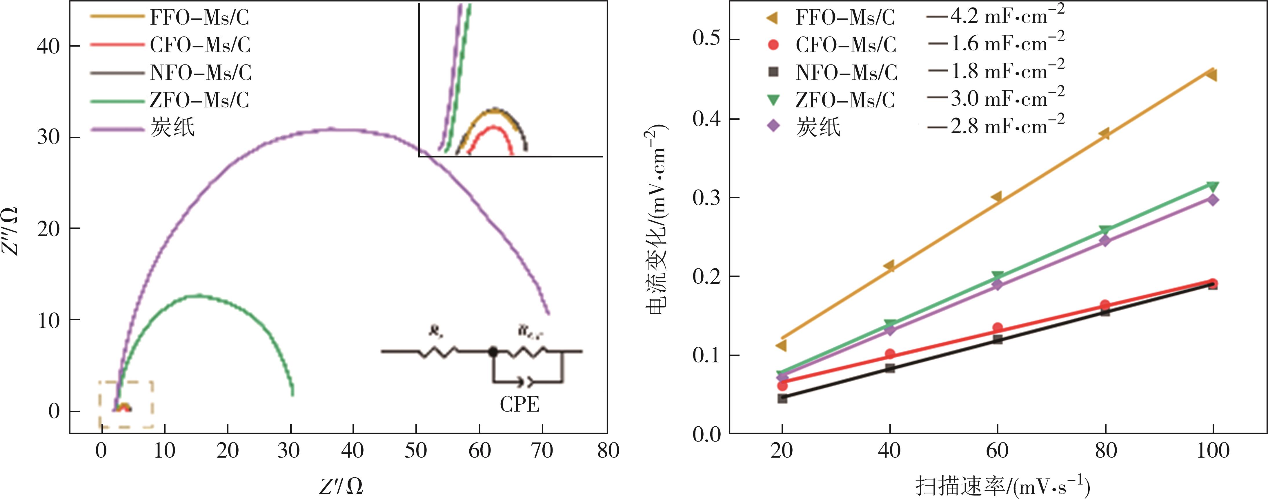
摘要:以炭纸为载体, 通过原位水热法合成了一系列炭纸负载的尖晶石结构铁氧体MFe2O4微球催化剂 (M2+=Fe2+,Co2+,Ni2+和Zn2+), 研究了铁氧体中M2+的种类和外磁场特性对催化剂OER性能的影响. 结果表明: 炭纸负载的NiFe2O4(NFO-Ms/C)具有优异的OER性能, 在10 mA?cm-2时的过电位为409 mV、Tafel斜率为78.9 mV?dec-1、电化学活性表面积为1.6 mF?cm-2, 这主要是因为NiFe2O4中存在较多的高价态M3+和较低的导电率、丰富的氧空位,有利于加快OER反应的速率.稳定性测试表明, 60 h后NFO-Ms/C的过电位仅升高5%左右,这主要是由于催化剂不断由Ni2+转变为高活性的N3+,保持着较好的催化活性.外界交变磁场能提高NFO-Ms/C的OER性能, 当交变磁场强度为4.320 mT, NFO-Ms/C的过电位由455 mV下降到了315 mV (10 mA?cm-2), 降低了30.8%,这是由于交变磁场生成的感生电场使电极表面活性物质OH-增多提升了电极电势,磁热效应提供额外能量加速电荷传输.
刘小磐 ?,程焕 ,杨典 ,谢志勇 ,景帅齐 ,孟悦欣 ,胡天隆 ,高朋召
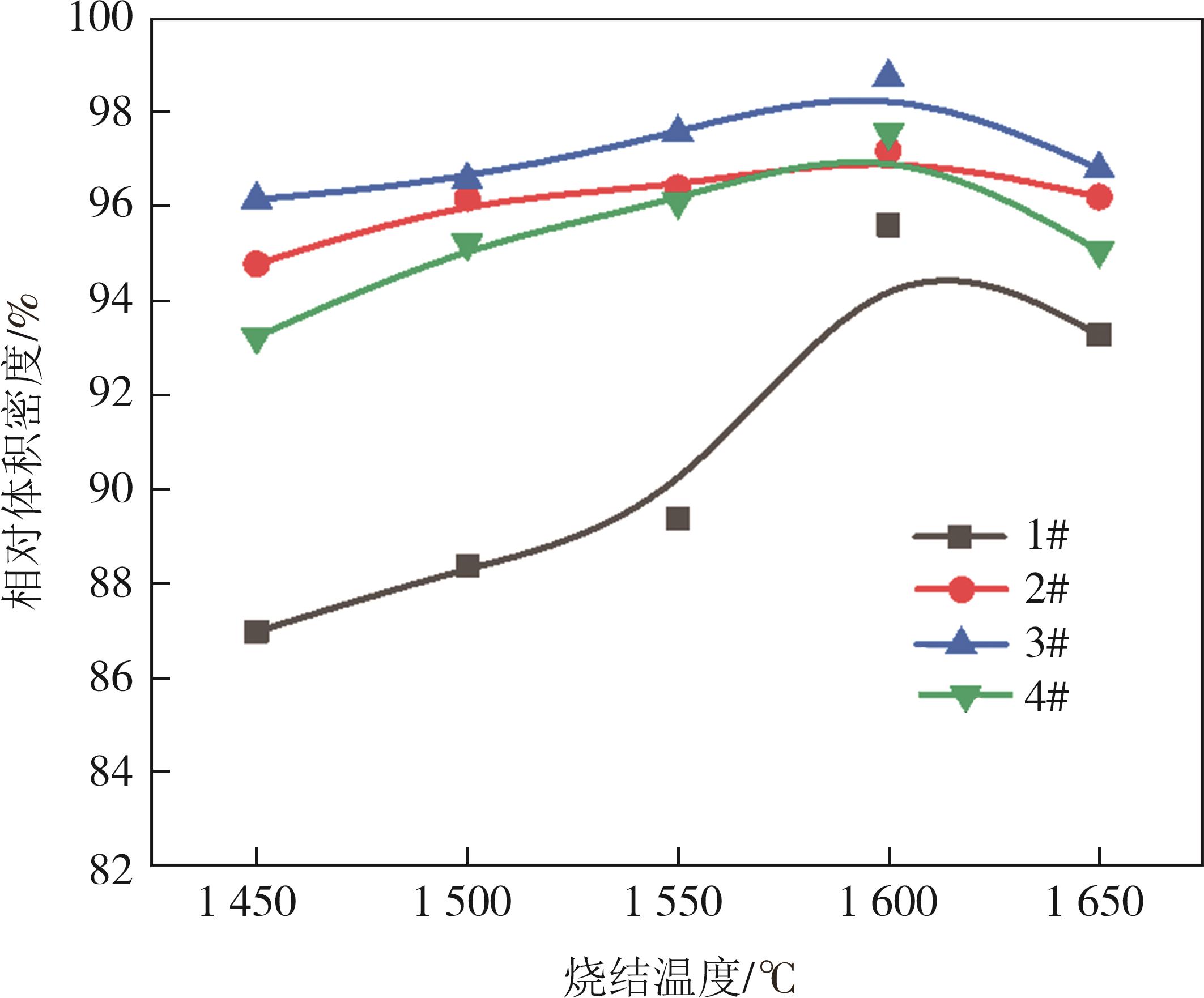
摘要:探讨了TiO2添加量对ZTA陶瓷组成、微观结构、力学性能及ZTA/ZMn13复合材料耐磨性能的影响.结果表明,ZTA陶瓷的致密度随烧结温度上升和TiO2添加量的增加均先增加后降低,当烧结温度为1 600 ℃,TiO2添加量为2%(质量分数)时,ZTA陶瓷具有最佳的综合性能:相对密度达到最高,为98.73%,抗弯强度为(429.60±24.56) MPa,维氏硬度(HV)为(1 691.73±120.65) N/mm2;断裂韧性为(7.24±0.38) MPa?m1/2;1 450 ℃下,ZTA与ZMn13熔液的接触角随TiO2添加量增加而减小,这是因为ZTA表面的TiO2会与ZMn13基体之间通过Ti—O—Fe键相连接,从而改善ZTA与ZMn13基体的界面润湿性;以ZTA陶瓷颗粒所制备的三维多孔预制体在1 450 ℃浇铸制备ZTA/ZMn13复合材料,材料的抗弯强度随ZTA中TiO2含量的提高先增加后下降,当TiO2含量为2%(质量分数)时,其抗弯强度达到最大值273.63 MPa;相较于不含TiO2的ZTA制备的ZTA/ZMn13复合材料(201.72 MPa),其强度提高了35.65%,三体磨损条件下耐磨性提高了21.98%.
地址: 邮政编码:410082
联系电话:0731-88822870 传真:0731-88821734 E-mail:hdxuebao@ijournals.cn
版权所有:湖南大学学报(自然科学版)中文版 ® 2026 版权所有 技术支持:北京勤云科技发展有限公司 ICP:
今日访问量: 总访问量: