- 优先出版 |
- 预出版 |
- 当期目录 |
- 专辑论文 |
- 年度排行 |
- 过刊浏览
-
优先出版日期:2022-05-19 DOI: 10.16339/j.cnki.hdxbzkb.2022353
摘要:经典的最大特征值检测(MED)算法在检测相关信号时具有优异的性能。然而,随着信号维度的不断增大,MED算法面临着严重的感知判决量和判决门限计算的效率和实现问题,从而极大地限制了该算法在现代认知通信系统中的进一步应用。为此,提出了一种基于数值分析理论框架的低复杂度MED频谱感知算法。所提算法利用Rayleigh商加速幂法迭代地计算感知判决量,与经典的幂法相比在检测高维信号时具有更快的收敛速度;此外,不同于经典的查表法,新算法基于三次样条插值法快速准确地确定任意给定目标虚警概率所对应的感知判决门限。所提MED算法在保持原有算法检测性能的同时,有效提升了计算效率,降低了算法实现复杂度,其对于高维条件下的频谱感知问题尤其具有吸引力。最后,仿真结果证明了所提算法的有效性。
-
优先出版日期:2022-05-19 DOI: 10.16339/j.cnki.hdxbzkb.2022355
摘要:介绍了一种基于IHP 0.13μm SiGe BiCMOS工艺,具有高的本振(Local Oscillator,LO)/射频(Radio Frequency,RF)及本振/中频(Intermediate Frequency,IF)端口隔离度的太赫兹基波上混频器。该混频器采用了吉尔伯特双平衡结构,本振信号通过共面波导(Coplanar Waveguide,CPW)传输来抑制其在传输过程中由于强寄生耦合效应造成的传输不对称性,降低了由于该不对称性造成的LO/RF端口隔离度恶化的特性,通过采用非对称性的开关互联结构降低本振信号在开关晶体管集电极端寄生耦合的不平衡性,提升本振信号在开关晶体管集电极端的对消效率,通过在版图中合理的布局跨导级晶体管的位置来抑制本振信号在中频端口的泄露。后仿真结果表明:在2.2V的电源电压下,本振信号为230GHz,中频信号在2-12GHz时,该上变混频器工作在218-228GHz时,LO/RF端口隔离度大于24dB, LO/IF端口隔离度大于20dB,转换增益为-4dB - -3.4dB。当中频信号为10GHz时,输出1dB压缩点为-14.8dBm。电路直流功耗为:42.4mW,芯片的核心面积为:0.079mm2。
-
优先出版日期:2022-05-17 DOI: 10.16339/j.cnki.hdxbzkb.2022296
摘要:自由空间光(FSO)通信具有高速率、低成本和很强的抗干扰能力,但是大气湍流引起的衰落会造成FSO通信系统的性能恶化。传统的解决方案是使用RF链路作为并行的通信链路来提升系统性能。另一方面,可重构智能表面(RIS)由于具有低损耗、部署简易且无需复杂的编码和解码等优点,能够进一步提高RF链路的接收信噪比。本文提出一种RIS辅助的混合RF-FSO传输系统,以此来改善通信服务质量。基于此混合模型,导出系统中断概率、平均误码率和信道容量的表达式,同时给出蒙特卡罗仿真来验证分析结果的准确性。结果表明所提出系统的性能相比于传统的混合RF-FSO系统有显著的提升。
-
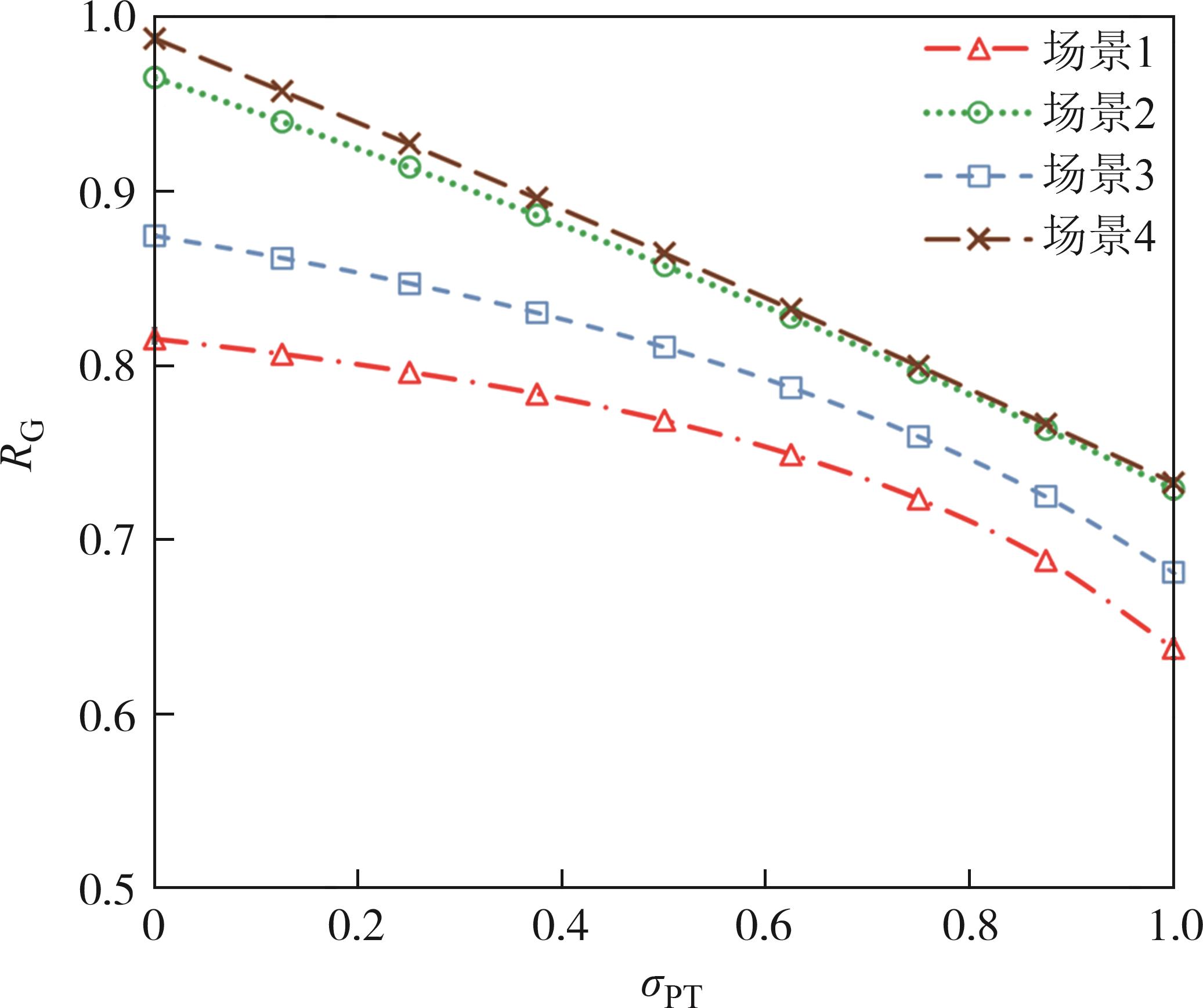
摘要:非对称传输机制,对弹性波的增强传感、放大及非对称控制来说至关重要。而宇称-时间(Parity-Time,PT)系统有望提供一种简单的解决方案。PT对称系统这一概念来源于量子力学,其特性之一就是单向无反射。本文基于压电分流技术,设计了一种针对弯曲波的PT对称梁。首先推导了PT对称条件,之后基于等效介质法和有限元法,验证了所设计增益、损耗单元的等效参数满足该PT对称条件,并通过改变谐振频率和分流电阻研究了奇异点的可调性。最后通过传递矩阵法和有限元法,对PT对称梁的散射特性进行了分析计算,并讨论了单向无反射点与奇异点之间的关系。理论计算和仿真结果表明,PT对称梁有包括511Hz 和520.5Hz在内的多个奇异点。511Hz的弯曲波从右端入射时反射系数趋于零,而弯曲波频率为520.5Hz时,它必须施加在左端从而达到完全透射而不产生反射。本文所提出PT对称梁具有结构简单、奇异点可调的特点,能较好地实现弯曲波的非对称传输。
-
优先出版日期:2022-05-17 DOI: 10.16339/j.cnki.hdxbzkb.2022297
摘要:随着互联网络的快速发展,虚拟社区不断涌现。这些社区在提供创新资源的同时,也存在着诸如用户分享意愿不高、社区缺乏良好激励机制等问题,区块链能够很好地解决这些问题,促进社区的知识共享。该文构建了基于跨链的在线社区知识共享方案,提出了“元数据+云存储”的资源访问与存储模式、详细设计了元数据信息表,设计了知识共享方案的总体框架及部分业务的关键流程,提出了采取“提名权益证明(NPOS)”的共识机制来设计区块链网络,实现了在线社区知识共享的部分功能。经分析与实验,该文的方案具有良好的科学合理性、安全性和执行效率,对其它相关项目的开展具有良好的参考价值。
-
优先出版日期:2022-05-17 DOI: 10.16339/j.cnki.hdxbzkb.2022299
摘要:受大气中雾霾等悬浮颗粒的影响,室外拍摄的图像常伴有低对比度和低能见度的问题,现存去雾方法未能充分利用图像的局部特征信息,且不能完整提取图像的全局细节特征,因此存在有去雾不彻底及图像细节丢失等问题。为此,本文提出了一种基于小波变换及注意力机制的T型图像去雾网络。具体来说,所提网络通过对图像进行多次离散小波分解及重构来获取有雾图像的边缘细节特征,并提出了一种兼顾图像全局特征及局部信息提取的特征注意力模块,加强了网络在图像视觉感知和细节纹理方面的学习。其次,在进行特征提取的过程中提出T型连接方式来获得多尺度的图像特征,扩展了网络的表示能力。最后,对重构后的无雾图像进行色彩平衡,得到最终复原图像。在合成数据集和真实数据集中的大量实验结果表明,本文所提网络相较于现有其他网络模型具有更优越的性能。
-
优先出版日期:2022-05-17 DOI: 10.16339/j.cnki.hdxbzkb.2022300
摘要:针对通信受限下的无人驾驶车辆路径跟踪控制问题,本文提出了一种基于状态感知的H∞事件触发路径跟踪控制策略.首先,根据车辆的动力学行为建立了相应的路径跟踪控制模型;其次,基于对路径跟踪控制系统的状态实时感知,设计了一种新型的基于状态感知的事件触发通信策略(SS-ETC),以根据控制系统的状态对事件触发阈值进行动态自适应的调整;然后,在该动态事件触发通信策略下,结合时滞系统建模方法与Lyapunov 稳定性理论,设计了基于状态感知的事件触发H∞控制器.本文所提出的基于状态感知的动态事件触发通信策略能够根据控制系统的量测状态进行通信阈值的动态调整,有效的实现了自主车辆通信与控制的自适应协同设计.最后,通过仿真实验验证了所提出的动态事件触发控制策略的有效性.
-
优先出版日期:2022-05-17 DOI: 10.16339/j.cnki.hdxbzkb.2022351
摘要:MIMO技术虽然可以提高频谱的利用率,但是多维度的信号处理为MIMO信号的检测带来了极大的挑战。在对各类MIMO检测算法分析的基础上,选择非线性QR分解算法作为研究对象。为了获取更高的检测性能,进一步研究了排序的QR分解并提出了基于L1范数的排序方案。Matlab性能仿真显示,基于L1范数的排序策略和基于L2范数的排序策略对MIMO系统检测性能的影响基本一致但采用L1范数降低了计算复杂度。在此基础上,设计了基于FPGA的利用Givens旋转改进的排序QR分解的硬件电路结构。在4×4信道矩阵的分解实现中,相较于L2范数求解,L1范数在单个列范数计算中组合逻辑资源至少节省了29.2%,触发器资源至少节省了32.4%。整体结构设计与同等规模的类似结构相比,主频时钟得到明显改善。
-
优先出版日期:2022-05-17 DOI: 10.16339/j.cnki.hdxbzkb.2022352
摘要:物联网作为一种新型通信网络的发展与应用,承载着大量敏感信息的安全传输与存储.由于物联网设备资源有限,通信开销大、传输速率慢且需存储敏感信息的安全原语(如公钥算法、数字签名等)不适用于轻量级设备的认证.本文利用物理不可克隆函数(PUF)所具备防篡改防克隆的特性来生成共享密钥,结合MASK算法、Hash函数等安全原语,为物联网设备提出一种轻量级匿名密钥共享认证协议.通过Ban逻辑和形式化工具ProVerif进行安全分析验证,证明该协议能够防御中间人攻击、去同步攻击、假冒攻击、建模攻击等.通过对比其他协议,该协议具备计算成本低、通信开销和存储容量小以及安全性能高的特点,适合于资源受限设备的安全通信传输.
-
优先出版日期:2022-05-17 DOI: 10.16339/j.cnki.hdxbzkb.2022354
摘要:声呐图像具有受噪声污染严重的特点,导致水下多目标分割存在精度低的问题。为此,提出一种自调整谱聚类结合熵权法进行多特征赋权的水下多目标分割技术。该技术首先通过自调整谱聚类对声呐图像的像素点进行聚类处理,使图像划分为多个独立的区域,然后根据多特征的互补性和冗余性统计每个区域的信息熵、亮度、对比度、狭长度等特征,利用熵权法对多特征进行赋权并筛选出最优的一个目标区域,再将该最优目标区域和所有区域进行多特征的相似度匹配,最后根据相似度的匹配结果使用自适应阈值迭代法自动分割出所有的目标区域。实验结果表明没有对噪声干扰区域误分割,分割出的目标区域精度更高,验证了所提方法的有效性。
-
摘要:为研究耐火钢方钢管混凝土轴心受压柱的承载性能,设计并制作了6根耐火钢方钢管混凝土长柱并进行了轴压试验,研究了焊接残余应力、长细比、宽厚比、钢材强度等级对试件承载力及关键截面应变发展的影响规律;建立了考虑耐火钢焊接残余应力影响的有限元模型,基于验证后的模型开展了焊接残余应力、长细比及宽厚比对轴压承载性能的参数分析. 研究结果表明:由于耐火钢方钢管焊接残余应力较普通钢小,耐火钢方钢管混凝土柱的稳定系数较普通钢方钢管混凝土柱高,且随着长细比增加,其差值呈先增大后减小的趋势. 短柱趋于强度破坏,其极限承载力与钢管对混凝土的约束作用有关,宽厚比越小,约束效应带来的混凝土抗压强度提高幅度越大,稳定系数越大;而中长柱则因受二阶效应影响,约束效应不明显,稳定系数主要受焊接残余压应力影响,因此,宽厚比越大稳定系数越大. 将试验与参数分析结果与国内外现行规范进行对比,我国规范及美国规范预测值分别低于参数分析结果32%和9%,欧洲规范预测值平均低于参数分析结果7%,预测结果精度最高.
-
摘要:为高效分析复杂钢结构在太阳辐射下的非均匀温度场,基于Grasshopper平台提出了一种复杂钢结构日照非均匀温度场的参数化分析方法,该方法可根据气象数据,考虑结构日照阴影效应,并结合型钢构件的简化温度计算方法,实现结构日照非均匀温度场的快速分析.为验证该方法的准确性,以深圳海能达全球总部大厦斜交网格钢结构为研究对象,收集了10 d结构各监测点的实时温度和气象监测数据,结果表明计算值与实测值的日误差率均方根小于12.5%.最后将上述参数化分析结果转换为结构杆件的温度荷载用于施工过程仿真效应,研究结构在施工期间日照非均匀温度效应,并提出在设计和施工阶段减少温度效应的措施.
-
摘要:基于延性节点理念,提出一种采用低屈服点高延性连杆连接与钢牛腿搭接的预制混凝土梁柱延性节点,并通过拟静力往复荷载试验评估其抗震性能. 设计制作了3个足尺试件,包括2个采用不同延性连杆构造的新型预制延性试件和1个现浇对比试件. 通过对比3个试件的破坏形态、滞回性能及承载力等受力性能指标发现:新型预制延性节点较现浇节点屈服位移提高约43%,峰值荷载提高约14%,延性及承载能力均有所提高;其中节点核心区内预埋整体式延性杆锚块的节点,整体协调变形能力更优,位移延性及承载性能更佳.
-
摘要:建立基于子结构法的整体钢框架多尺度模型,利用Matlab软件模拟600 s良态风以进行动力时程分析,运用等效结构应力法分析细部构造的疲劳特性,探究了立体车库风致疲劳危险点所在位置;分析了基于子结构法的多尺度模型研究整体结构的合理性;计算了翼缘对接方式、过渡区转折角度和梁柱节点悬臂段长度对结构疲劳寿命的影响. 结果表明,立体车库风致疲劳危险位置在次顶层迎风面中榀梁柱节点的柱弱轴侧悬臂段与钢梁下翼缘对接焊缝边缘处;基于子结构法多尺度模型结构的计算结果与二阶实体单元模型吻合较好,符合工程精度要求;翼缘间以居中对齐方式焊接有效改善了对接焊缝应力集中,整体结构疲劳寿命随着过渡区转折角度与悬臂段长度的增加而增加.
-
熊海贝 1,尹昊然 1,孙瑾煜 1,陈佳炜 1,2?,王毳 3
摘要:本文提出了一种适用于正交胶合木结构的新型耗能角支架,综合了“软钢屈服”与“橡胶剪切变形”双重耗能优势. 为研究新型耗能角支架的力学性能,对12个试件进行了单调加载和低周往复加载试验,总结了其典型的破坏模式,获得了其初始刚度、延性系数、等效黏滞阻尼比等力学性能;采用Abaqus软件建立了新型耗能角支架的弹塑性有限元模型,并基于验证后的数值模型开展了参数化分析. 结果表明:新型耗能角支架的破坏模式主要包含钢桥屈服断裂、底座局部承压破坏和橡胶脱胶破坏三种,其中钢桥屈服断裂是主要破坏模式;各试件延性系数均大于9.6,等效黏滞阻尼比在9%~26%之间,表现出高延性和良好耗能能力;此外,参数化分析结果表明,耗能角支架的承载力与钢骨架厚度、软钢屈服强度、橡胶剪切模量及是否采用垫板呈正相关,而橡胶高度对耗能角支架承载力的影响较小.
-
摘要:盾构切桩过程中,合理的切桩推力和施工控制措施能有效控制桥桩变形,保障切桩过程的稳定与安全. 依托北京地铁12号线某盾构切桩工程,基于摩尔-库仑强度理论,推导稳态切削时双面刃撕裂刀平直段的贯入力;由刀具表面接触应力分布建立稳态切削时双面刃撕裂刀圆弧段的贯入力模型. 结合盾构切桩全过程数学模型,得到盾构切桩总推力计算方法,根据现场实测推力值验证盾构切桩总推力模型,分析纯切桩推力对桩基变形的影响;将纯切桩推力计算方法应用到智能管控平台搭建,配合盾构切桩过程中的控制措施,对桥梁墩台进行变形监测. 监测结果表明:盾构左线切桩过河区间中桥梁墩台的最大竖向沉降为8.48 mm,桥梁墩台的最大横向差异沉降为1.4 mm,均在安全控制范围内.
-
摘要:为了探究terminal blend(TB)沥青与集料界面的相互作用行为,本文基于分子动力学模拟,利用Materials Studio软件构建基质沥青、TB改性沥青、TB复合SBS改性沥青(TB_SBS)以及TB复合EVA改性沥青(TB_EVA)与集料界面模型. 通过结合能、黏附功、相对浓度分布以及接触角试验等手段,对上述4种沥青-集料界面进行综合评估. 结果表明,胶粉、SBS和EVA这些改性剂显著提升基质沥青的黏附性能,TB_EVA在不同温度下与基质沥青的黏附功波动较TB_SBS明显,且在较低温度下黏附功提升更显著,较高温度时后者占据更大优势. 分析原因可知,橡胶颗粒和EVA改性剂吸收轻质组分充分溶胀,影响沥青质和胶质的聚集分布状态,从而提高沥青与集料的浸润吸附能力和相互作用力. 此外,TB_SBS在不同温度下黏附功均维持较高水平且黏附功变化范围不超过2.5 mJ/m2,TB_SBS表现出最佳的抗高温性能,是最具沥青-集料界面黏附潜力的沥青,推测SBS中极性较强的S=O基团吸附AS中的—OH基团及存在于BR中的氢原子,导致其与集料的黏附性显著提高,相关结论与接触角试验所得出的结果一致. 尽管数量级和数值因温度和空间尺度差异而不同,但试验验证了模拟方法在预测沥青-集料界面黏附过程中的可靠性与合理性.
-
摘要:将淤泥弃土处理成流态固化土是其变废为宝、资源化利用的新途径. 本研究评估了碱-硫酸根复合激发水泥基固化剂在淤泥流态固化土中的应用性能,通过响应面中心组合法(CCD),深入揭示了水固比和固化剂掺量对流动度、无侧限抗压强度和水稳系数的作用机制,并结合细观孔隙结构演化阐明其强化机理. 研究结果表明,流动度随水固比和固化剂掺量的增加呈线性叠加提升趋势;水稳定性系数与水固比呈负相关关系,而与固化剂掺量呈正相关,但固化剂掺量的提升效应随掺量增加逐渐减弱;在强度发展规律方面,早期强度受水固比与固化剂掺量的协同作用控制,而中长期强度(≥7 d)则主要由固化剂掺量单一主导. 降低水固比或提高固化剂掺量有助于固化土内部形成致密的凝胶网络结构,显著提升无侧限抗压强度. 基于CCD法建立的模型预测值与试验值高度吻合(R2>0.94),验证了模型的可靠性. 多目标优化结果表明,当水固比为0.87、固化剂掺量为12.1%时,流态固化土不仅满足路基工程基本要求:流动度>80 mm、28 d无侧限抗压强度>1.0 MPa、水稳系数≥0.8,而且各龄期强度也可得到充分发展.
-
何晴光 1,2,洪祺凯 1,周梓豪 1,朱前坤 1,2,程进生 3
摘要:为了更好分析磁极结构对永磁体利用率的影响以及实现板式电涡流阻尼器适应多向运动等情况,提出一种Halbach永磁体双向阵列结构,并对7种磁路结构方案开展参数对比分析. 首先通过对比某一板式电涡流阻尼器的试验结果,验证了采用三维电磁场有限元瞬态分析方法仿真板式电涡流阻尼器阻尼性能的准确性. 制作了一个Halbach循环阵列板式电涡流阻尼器,基于三维电磁有限元分析方法,与不同的磁路结构对比分析,研究了永磁体磁极对数、永磁体背铁、空气间隙、导体板等因素对板式电涡流阻尼力的影响. 研究表明,Halbach双向阵列电涡流阻尼器在多向运动下能保持较好的耗能效率. 通过分析仿真结果还发现,不同的板式电涡流永磁体方式存在相似的阻尼力速度梯度曲线,依靠曲线函数可在短时间内得出较为准确的板式电涡流阻尼器在不同相对速度下的阻尼力,可大幅提升板式电涡流阻尼力的计算效率.
-
摘要:为提升大跨储煤网壳结构的抗风性能,基于NURBS理论的参数化构形方法和代理模型技术,提出自由曲面网壳结构的气动外形优化方法. 利用Grasshopper参数化平台和Fortran语言进行程序的二次开发,实现了设计参数调整、模型自动更新和气动响应计算的一体化联动处理,显著提高了优化设计的自动化程度. 以NURBS曲线控制点为优化变量,位移响应极值为优化目标,建立了自由曲面网壳结构优化模型. 在此基础上,对三心圆柱面和球面储煤网壳结构进行气动外形优化. 结果表明:融合参数化建模和Kriging代理模型的气动外形优化方法,通过发掘结构合理的气动外形取得了显著优化效果;0°和30°风向下优化后柱壳结构的位移极值分别下降了32%和18%,球壳的位移极值下降了12%;优化后两种网壳结构的抗风性能均有所改善,且达到降低工程造价的目的,为大跨空间网壳结构的抗风设计选型提供新的途径.
-
高广中 1?,颜欣 2,于璐 1,谢永辉 1,白桦 1,安邦 3,杨鑫 3
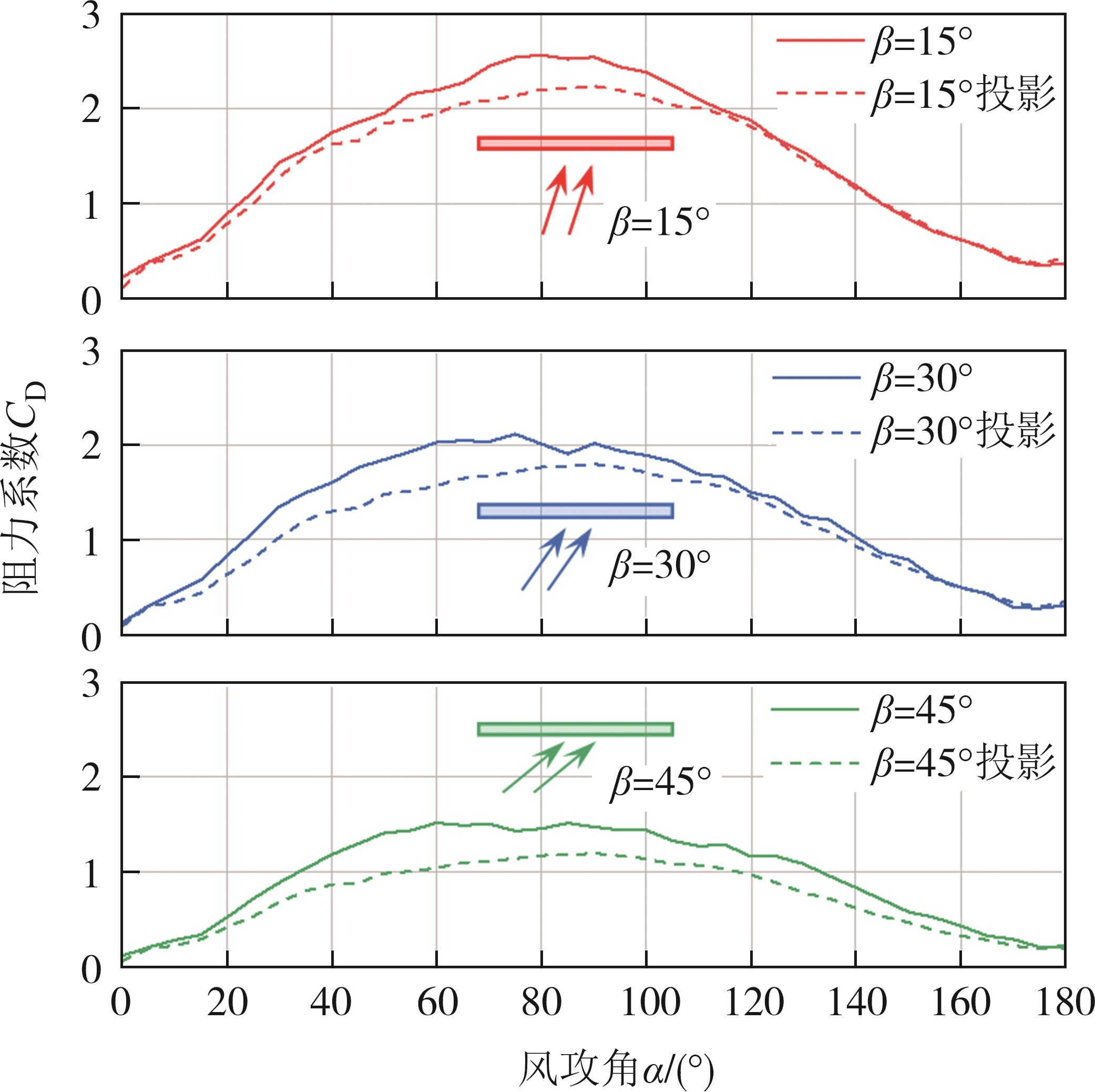
摘要:现行抗风规范采用的单脊梁模型、双主梁模型和三主梁模型,均将斜拉索锚固点与主梁刚度中心置于同一水平面,忽略了斜拉索在主梁上锚固偏心引起的附加扭矩. 为准确计算风致扭转变形,大跨度斜拉桥静风分析中必须考虑斜拉索锚固偏心效应. 首先,基于锚固构件和斜拉索弹性变形协调关系,建立拉索锚固偏心距简化计算方法;继而提出考虑斜拉索锚固偏心效应的大跨度斜拉桥非线性静风扭转变形分析方法. 以苏通大桥为例的数值分析结果表明:索-梁锚固偏心效应在主梁节点上引发的附加扭矩,与主梁自身气动升力矩之比在主梁跨中区域超20%;计入锚固偏心后,主梁跨中扭转位移在风攻角为0°和3°时,分别提高了67.7%和26.7%,静风失稳临界风速分别降低6.3%和3.0%. 主梁扭转变形变化会进一步影响主梁的附加风攻角效应.
-
摘要:为评估在不同斜坡地形下光伏阵列所受的风荷载,采用风洞试验和CFD数值模拟研究其表面风压分布规律,及风向角、斜坡坡度和组件倾角对光伏阵列所受风荷载及组件间干扰效应的影响. 研究表明:0°风向角下风压分布和平均风压系数最大,为最不利风向;随组件倾角增加,前排组件所受风压力增大,组件间的干扰效应增强,斜坡地形会减弱光伏阵列的遮挡效应;随坡度的增加,后排组件风荷载并未随接触风速的增大(后排组件的海拔高度不断增加)而增加,反而有所减小,当风荷载由风压力变为风吸力后才开始增加. 通过CFD数值风洞对大型光伏阵列风荷载仿真发现,光伏阵列中纵向列之间的遮挡效应不明显,且斜坡地形会影响气流平均速度和湍流特性.
-
摘要:采用超薄玻璃对既有建筑外窗进行改造,研发了一种薄型三玻两腔中空玻璃,旨在通过优化玻璃厚度、调整低辐射涂层数量与位置、填充不同惰性气体等措施来研究其对薄型中空窗热工性能的影响. 首先采用层次聚类与K-means聚类法对国际玻璃数据库(IGDB)的低辐射玻璃进行聚类,确定了7种典型类型. 而后以既有外窗窗框结构为约束条件,提出了内置薄玻、改变低辐射涂层位置及种类、变更空腔填充介质等单一或组合改造策略. 利用WINDOW、THERM、Optics软件计算了不同改造策略下薄型中空外窗的热工性能,并搭建了全尺寸实验平台对薄型中空窗的热工性能开展了实测研究. 最后通过E-FAST敏感性分析方法量化了不同改造策略对热工参数的影响. 结果表明,相较于低辐射中空窗,改造后的薄型中空窗的传热系数可降低30.64%;空腔填充介质和低辐射涂层种类是影响薄型中空窗热工性能的关键参数;相较于更换整窗的改造方式,使用薄型中空玻璃进行外窗改造的方式可降低83%~87%的材料成本.
-
李洪强 1,2,3?,彭逸喆 1,陈治平 1,刘丽芳 4,钱想想 1,蔡澄汉 1,赵岩志 1
摘要:针对固体废弃物资源化利用中存在的消纳量小、成本较高、工艺复杂等问题,提出一种消纳量大、成本较低、工艺简单的建筑保温材料制备方案. 该方案以电解锰渣和粉煤灰两种固体废弃物作为硅铝酸盐原料,以水玻璃作为碱激发剂,采用双氧水发泡工艺,制备出保温、力学性能优异,且成本较低的材料. 结果表明,水玻璃用量在一定范围内材料可以制备成型,且能够有效稳泡. 电解锰渣的掺入量范围为0%~60%,推荐掺入量为30%,最高掺入量为60%. 当电解锰渣掺入量为30%、水玻璃用量为355.4~465.4 g、双氧水用量为8 g、稳泡剂用量为2 g时,导热系数为0.084~0.093 W·m-1·K-1,抗压强度为0.92~1.43 MPa,密度为457~475 kg·m-3,制备每立方米新型保温材料所需原料成本约为750 元. 与采用偏高岭土作为前驱材料,氢氧化钠和水玻璃作为碱激发剂的同类保温材料相比,新型建筑保温材料成本仅为其24%左右. 此外,该新型建筑保温材料毒液浸出浓度低,对重金属有良好的固化作用.
-
张泉 1?,李俊 1,翟志强 2,朱轶群 1,陈姝伊 1,雷建军 3,廖曙光 4
摘要:为了实现大数据园区低碳、高效运行,构建了耦合光伏发电系统、自然冷却系统、余热回收系统和多种储能方式的综合能源系统.建立了综合能源系统能耗模型,针对模型非线性、多变量、多约束条件的特性,提出了基于遗传算法的滚动优化控制方法,以应对能源供需动态变化的问题. 该方法以系统运行成本最低为目标,综合考虑峰谷电价、可再生能源出力特性、设备部分负载性能特性等因素,确定系统的最佳运行策略. 将模拟结果与规则控制的结果对比可知,滚动优化可使系统运行费用降低10.68%~12.63%. 此外,选择了不同太阳辐射强度的场景进行研究,结果表明:光伏利用率的提升受蓄电池运行模式影响较大,通过调整系统运行参数能进一步提高系统光伏利用率.
-
摘要:针对当前研究隔震曲线梁桥地震可靠度时无法充分考虑地震动随机性和多维性的现状,从全概率角度出发,系统研究了隔震曲线梁桥在多维随机地震作用下的抗震性能. 建立双质点六自由度隔震曲线梁桥简化模型并推导其非线性运动方程,通过引入工程地震动加速度功率谱随机模型,采用谱表示-随机函数法生成符合同一集合系统的多维非平稳地震动时程样本,将该样本作为输入隔震曲线梁桥的随机激励. 采用四阶龙格-库塔法求解得到隔震曲线梁桥结构的动力时程数据,利用TVD差分格式求解其广义概率密度演化方程来量化地震持时内结构动力响应的概率信息,然后构造极值随机过程得到隔震曲线梁桥下部结构和隔震层的位移极值分布函数和系统可靠度. 结果表明:考虑非平稳随机地震激励的多维性会放大隔震曲线梁桥结构的动力响应;概率密度演化法求解隔震曲线梁桥这类强非线性结构的动力响应表现优越;通过调整隔震曲线梁桥桥面宽度和曲率半径的合理取值,能够提升隔震曲线梁桥的抗震性能.
-
摘要:为了提升隧道裂缝尺寸测量的精度和计算性能,提出一种基于中轴线多尺度特征融合的视觉测宽方法.首先,选取裂缝宽度作为研究对象,并对裂缝中轴线提取方法进行改进,提出了模板匹配策略以提高并行细化算法生成的中轴线像素精简率. 其次,通过优化方向链码骨架分支去除方法,提升裂缝中轴线分支去除效果. 最后,利用最小二乘法对中轴线进行曲线拟合,提出基于裂缝骨架中轴线多尺度方向特征融合的宽度测量方法,并基于互补金属氧化物半导体(complementary metal-oxide-semiconductor, CMOS)传感器视场角度计算实现裂缝像素宽度与实际裂缝宽度的换算. 选取重庆巴南花溪隧道作为研究对象进行实例分析,实验结果表明:本文所提裂缝测宽法的平均像素绝对误差对比最大膨胀圆测宽法、最短路径测宽法、正交投影测宽法分别降低了9.89百分点、4.67百分点、15.61百分点. 并且改进后裂缝中轴线提取方法的平均像素精简率较改进前提高了6.58百分点. 同时在不同测量距离的裂缝测量实验中,验证了所提方法在不同测量距离下的自适应能力.
-
靖洪淼 1,2,3,赵志恒 1,李维康 1,张胤璇 1,乔明哲 4?,杨雄伟 5
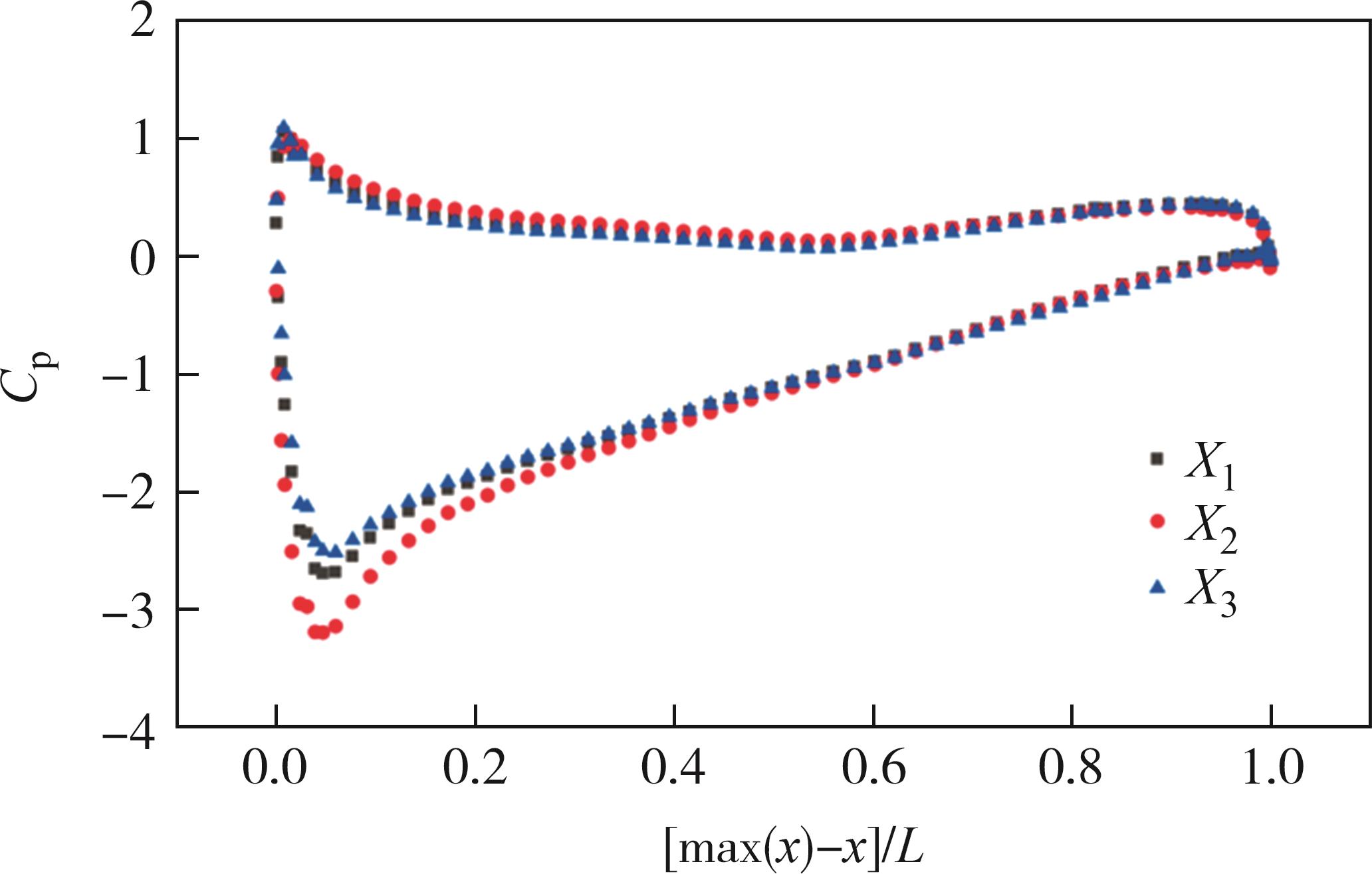
摘要:为提高大涡数值模拟(large eddy simulation, LES)中生成格栅湍流风场效率,对一种LES湍流生成方法进行改进,在入口边界处设置虚拟格栅网获取网状射流,并将其成功应用于Re=3 900的圆柱绕流模拟. 结果表明:基于虚拟格栅生成的湍流风场具有各向同性特征,各湍流强度沿流向呈指数衰减趋势,湍流积分尺度沿流向呈线性增长趋势,且脉动风速功率谱与von Kármán谱吻合较好. 此外,相较于均匀来流,湍流来流下圆柱的平均阻力系数减小,而阻力系数和升力系数的标准差均大幅增加,即湍流会加剧圆柱升阻力的脉动效应. 来流湍流对圆柱表面的流动分离有抑制作用,可使分离点位置后移,导致回流长度和斯脱罗哈数减小,同时使尾流涡旋脱落不稳定、涡脱能量更强.
-
吴泽媚 1,2,毛浩宇 1,2,郑新颜 1,2?,解静 1,2,王振地 3,张艳聪 4
摘要:针对高原低气压、低湿度、低温和大温差等复杂环境对混凝土的加速劣化作用,高原地区混凝土气泡稳定性及引气效果、力学性能、收缩特性、抗冻性等备受关注,而相关研究现状尚待分析总结. 本文首先对比分析了我国典型高原和平原城市的气压、温度和湿度等特点,进而综述了低气压、低湿度、大温差等关键环境因素对水泥基材料工作性能、微观结构、力学性能、收缩特性及抗冻性的影响规律,明确了水泥基材料在关键环境因素下的劣化程度及作用机理.
2025年第52卷第11期
- PDF下载排行
- HTML阅读排行
- 摘要点击排行
- 五年引用排行
-
2024,51(12):67-77 DOI:
-
于鹏 1,2,3,4,郭子康 1,云惟经 1,郭晓 1,2,3,4?
2025,52(3):29-46 DOI:
-
于建兵 1,2?,徐志强 1,夏煜锋 1,管东芝 2,郭正兴 2
2025,52(1):49-60 DOI:
-
张莎莎 1,2?,钱宇 1,2,王利鑫 1,赵凯旋 1,赵彦虎 1
2025,52(9):48-58 DOI:
-
2024,51(12):78-86 DOI:
-
胡亚山 1,商志国 1,李永岗 1?,周根富 2,杨亚军 2
2025,52(2):133-139 DOI:
-
谭瑞昕 1,楼国彪 1,2?,陶宇超 1,王美南 3,李舜 3,苏葛 3
2025,52(3):201-212 DOI:
-
2025,52(3):82-93 DOI:
-
高朋召 ?,景帅齐 ,王垣力 ,胡天隆 ,孟悦欣 ,李长泉 ,周锋 ,刘小磐 ,肖汉宁
2025,52(8):193-205 DOI:
-
张玲 1,2?,陈智超 1,2,彭芯钰 1,2,周蓉 1,2
2025,52(1):12-23 DOI:
-
熊海贝 1,武喆 1,欧阳禄 1,王治方 1,陈佳炜 1,2?
2025,52(1):34-48 DOI:
-
郑元洲 1,2,李鑫 1,2,钱龙 1,2?,秦瑞朋 1,2,李果 1,2,李梦希 1,2
2024,51(12):119-128 DOI:
-
于鹏 1,余存 1,任兆永 1,覃玉海 1,贺盛 1,2,王龙林 3?
2025,52(1):118-131 DOI:
-
2025,52(4):103-113 DOI:
-
杨果林 1,李文生 1,段君义 2?,杨啸 1,李兴瑷 3,夏晓鹏 1
2025,52(1):24-33 DOI:
-
张冬梅 1,2,朱锐 1,陈淙岑 1,黄忠凯 1?,张吾渝 2,朱美恒 3
2025,52(1):196-206 DOI:
-
胡亚山 1,商志国 1,李永岗 1?,周根富 2,杨亚军 2
2025,52(2):133-139 DOI:
-
于鹏 1,余存 1,任兆永 1,覃玉海 1,贺盛 1,2,王龙林 3?
2025,52(1):118-131 DOI:
-
高朋召 ?,景帅齐 ,王垣力 ,胡天隆 ,孟悦欣 ,李长泉 ,周锋 ,刘小磐 ,肖汉宁
2025,52(8):193-205 DOI:
-
于鹏 1,2,3,4,郭子康 1,云惟经 1,郭晓 1,2,3,4?
2025,52(3):29-46 DOI:
-
谭瑞昕 1,楼国彪 1,2?,陶宇超 1,王美南 3,李舜 3,苏葛 3
2025,52(3):201-212 DOI:
-
杨果林 1,李文生 1,段君义 2?,杨啸 1,李兴瑷 3,夏晓鹏 1
2025,52(1):24-33 DOI:
-
2025,52(4):103-113 DOI:
-
于建兵 1,2?,徐志强 1,夏煜锋 1,管东芝 2,郭正兴 2
2025,52(1):49-60 DOI:
-
王淑萍 1?,钟静雄 1,4,徐银清 1,辛云涛 2,吕学伟 1,曾冠武 3
2025,52(3):180-188 DOI:
-
宋彦宁 1,2,乔宏霞 1,2?,冯琼 1,2,魏超 1,2,郑江华 3
2025,52(9):199-210 DOI:
-
陈谨林 1,3,李秉海 2?,徐继祥 1,3,涂军 2,王志宏 2,陈孟鸿 2,陈政清 1
2025,52(7):109-117 DOI:
-
郑元洲 1,2,李鑫 1,2,钱龙 1,2?,秦瑞朋 1,2,李果 1,2,李梦希 1,2
2024,51(12):119-128 DOI:
-
张玲 1,2?,陈智超 1,2,彭芯钰 1,2,周蓉 1,2
2025,52(1):12-23 DOI:
-
熊海贝 1,武喆 1,欧阳禄 1,王治方 1,陈佳炜 1,2?
2025,52(1):34-48 DOI:
-
谢朋 1,李葱葱 1,段虎辰 1?,文海家 2,李良勇 1,李昭捷 1,王永卫 1
2025,52(1):219-227 DOI:
-
邢攸冬 1?,李忠芳 1,王立虎 1,安钰坤 1,杨思一 1,袁建军 2
2025,52(2):46-54 DOI:
-
2025,52(3):82-93DOI:
-
2024,51(12):78-86DOI:
-
于建兵 1,2?,徐志强 1,夏煜锋 1,管东芝 2,郭正兴 2
2025,52(1):49-60DOI:
-
张玲 1,2?,陈智超 1,2,彭芯钰 1,2,周蓉 1,2
2025,52(1):12-23DOI:
-
张维刚 1,曾嘉博 2,周维 1?,陈正 1,吴颂 3,潘文军 3
2025,52(2):1-9DOI:
-
杨果林 1,李文生 1,段君义 2?,杨啸 1,李兴瑷 3,夏晓鹏 1
2025,52(1):24-33DOI:
-
熊海贝 1,武喆 1,欧阳禄 1,王治方 1,陈佳炜 1,2?
2025,52(1):34-48DOI:
-
于鹏 1,余存 1,任兆永 1,覃玉海 1,贺盛 1,2,王龙林 3?
2025,52(1):118-131DOI:
-
张冬梅 1,2,朱锐 1,陈淙岑 1,黄忠凯 1?,张吾渝 2,朱美恒 3
2025,52(1):196-206DOI:
-
王里达 1,2,丁荣军 1?,刘侃 1,杨军 2,雷羿含 1,张旗 2
2024,51(12):1-9DOI:
-
刘登峰 1,2,朱佳伟 1,2,徐昊 1,2,杜晓凯 1,2,柴志雷 1,2?
2025,52(8):23-32DOI:
-
郑元洲 1,2,李鑫 1,2,钱龙 1,2?,秦瑞朋 1,2,李果 1,2,李梦希 1,2
2024,51(12):119-128DOI:
-
2025,52(1):69-83DOI:
稿件在本刊官网发布后12个月的访问统计和5年引用次数的排行情况







































































































































































































































































































































































































































































































































出版专辑
虚拟专辑