
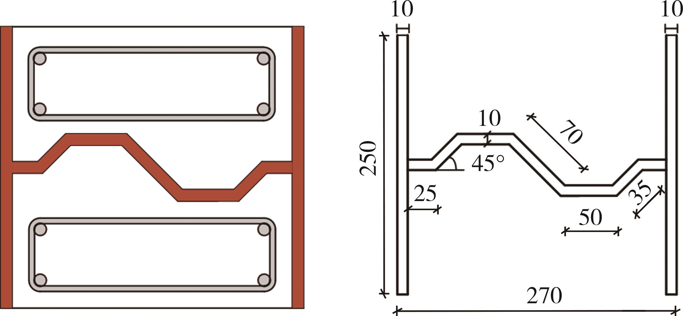
摘要:提出了一种基于钢管弹塑性扭转变形的承载-耗能双功能阻尼器,采用V字形折线型设计,使构件在外荷载作用下实现弹塑性扭转变形,从而同时提供承载和耗能能力. 通过理论分析推导了阻尼器的初始刚度、屈服荷载和屈服位移等基本力学参数,并设计了一种双扭管三折线V字形构件,用于框架结构的斜撑,简称为双扭管V型斜撑. 在拟静力低周往复加载条件下,试验和仿真结果表明,阻尼器滞回曲线饱满,耗能能力较强,设计位移(50 mm)下的等效黏滞系数达到0.38,达到了屈曲约束支撑(buckling-restrained brace,BRB)的同类指标. 试件的刚度退化规律和耗能特性与BRB类似,验证了其作为耗能支撑双功能阻尼器的可行性. 仿真结果与试验高度一致,验证了理论模型的准确性.通过优化支撑杆初始角度至25°,构件的拉压不平衡系数降低至1.2,满足相关规范要求,进一步验证了该设计的工程可行性. 最后,对构件自身的几何非线性导致的拉压不平衡系数过大的问题进行了详细讨论分析,为后续设计方案改进提供了理论依据.
摘要:斜拉桥在转体施工期间塔底并未完全固结,在风荷载作用下桥塔存在倾覆倒塌的风险,但现有的抗倾覆安全性评估大多基于安全系数法开展,缺乏基于可靠度的相关研究.以无锡市某独塔斜拉桥转体施工状态为研究对象,建立了转体施工中桥塔风致倾覆的极限状态方程与分项系数设计表达式.根据虚拟风洞获取的构件静气动力系数,利用有限元方法计算了桥梁静风响应与抖振响应,由此得到各风向角下塔底的内力响应.采用蒙特卡罗方法获得了各风向角下桥塔抗倾覆可靠度指标,结果显示在横桥向来流风下可靠度指标有最小值.进行了随机变量的敏感性分析,发现结构自重与风速对计算结果的影响最大.基于目标可靠度指标,利用验算点法(JC法)计算了桥塔抗倾覆验算中结构自重荷载与风荷载的分项系数,供桥梁转体施工设计参考.
黄明华 ,?,陆锦斌 ,,王克平 ,,钟煜轩 ,,周苏华 ,
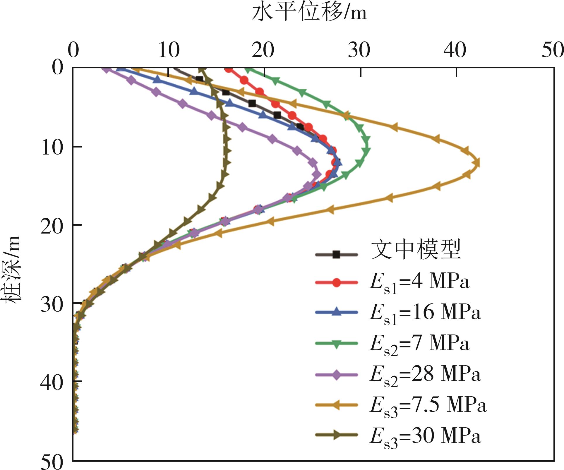
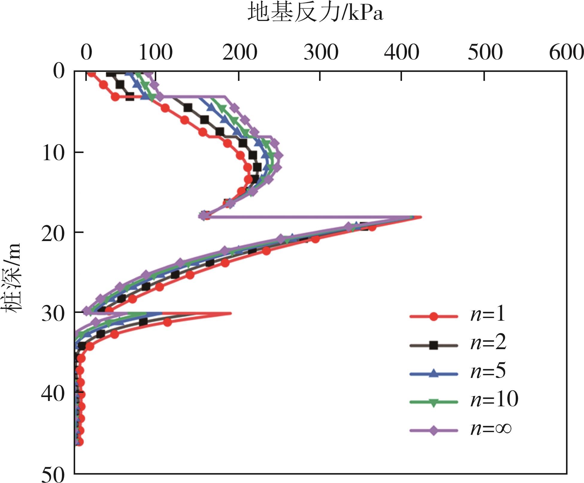
摘要:针对基坑开挖引起邻近桩基的响应问题,首先基于镜像源法,从基坑围护墙变形曲线出发,推导出地基土体非均匀收敛模式下的坑外土体自由位移场;其次,考虑地基土体的成层性,引入Vlasov地基模型,基于两阶段法建立成层地基中基坑开挖引起的邻近桩基响应微分控制方程,并利用有限差分法建立其理论解答和计算方法;在此基础上,结合两项工程案例,验证所建立计算方法的可行性,并探讨成层地基土体弹性模量和非等量收敛系数对邻近桩基响应的影响.结果表明:基坑坑底所处土层的土体参数变化对邻近桩基响应的影响最为显著;邻近桩基的截面剪力在成层地基的土层分界处存在转折点,而地基反力则在分界面处产生突变;随着土体非等量收敛系数的增大,桩基上部的水平位移和地基反力逐渐增大,而桩基下部的水平位移和地基反力则逐渐减小,且桩基上部所受影响程度大于下部所受影响程度,桩基截面剪力和弯矩所受的影响则相反.
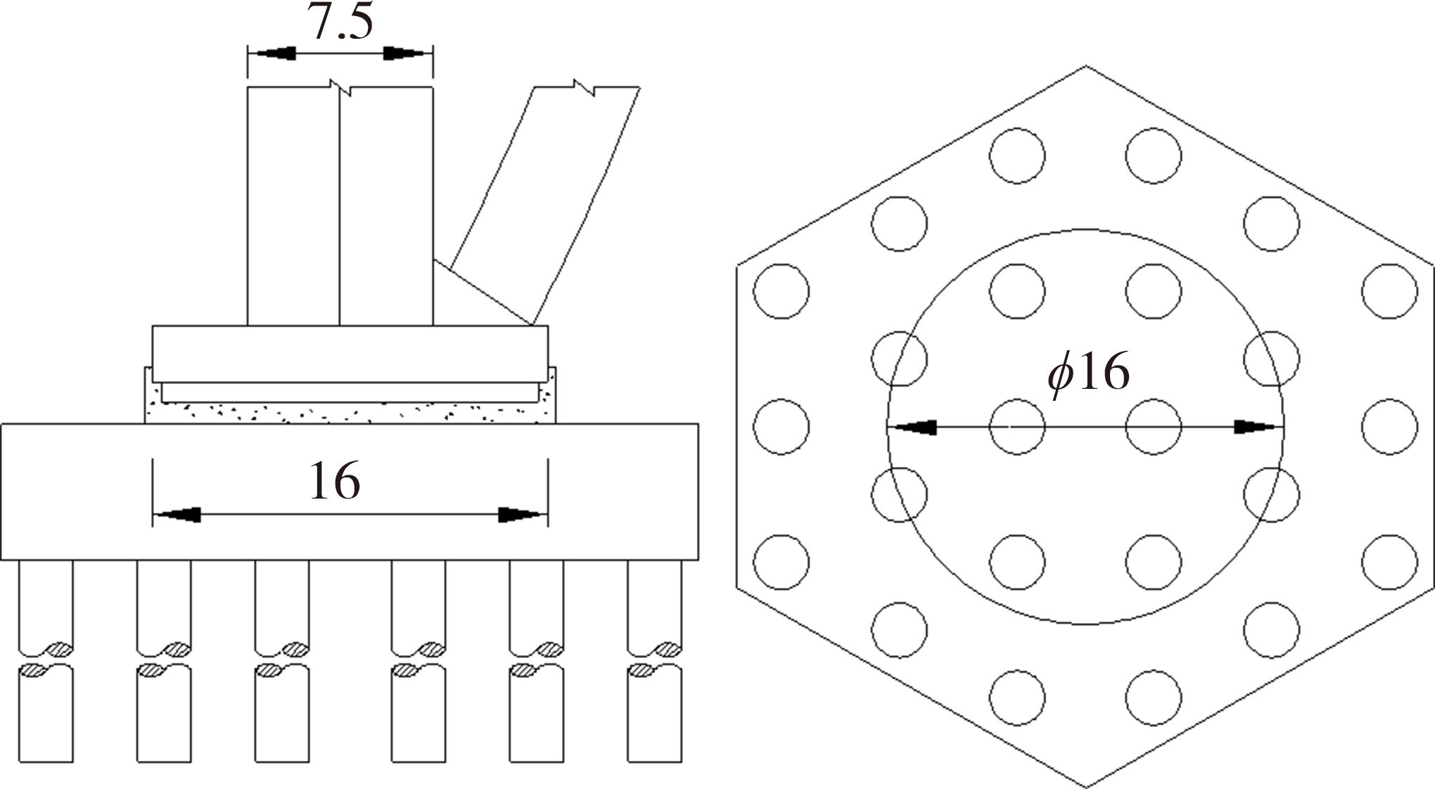
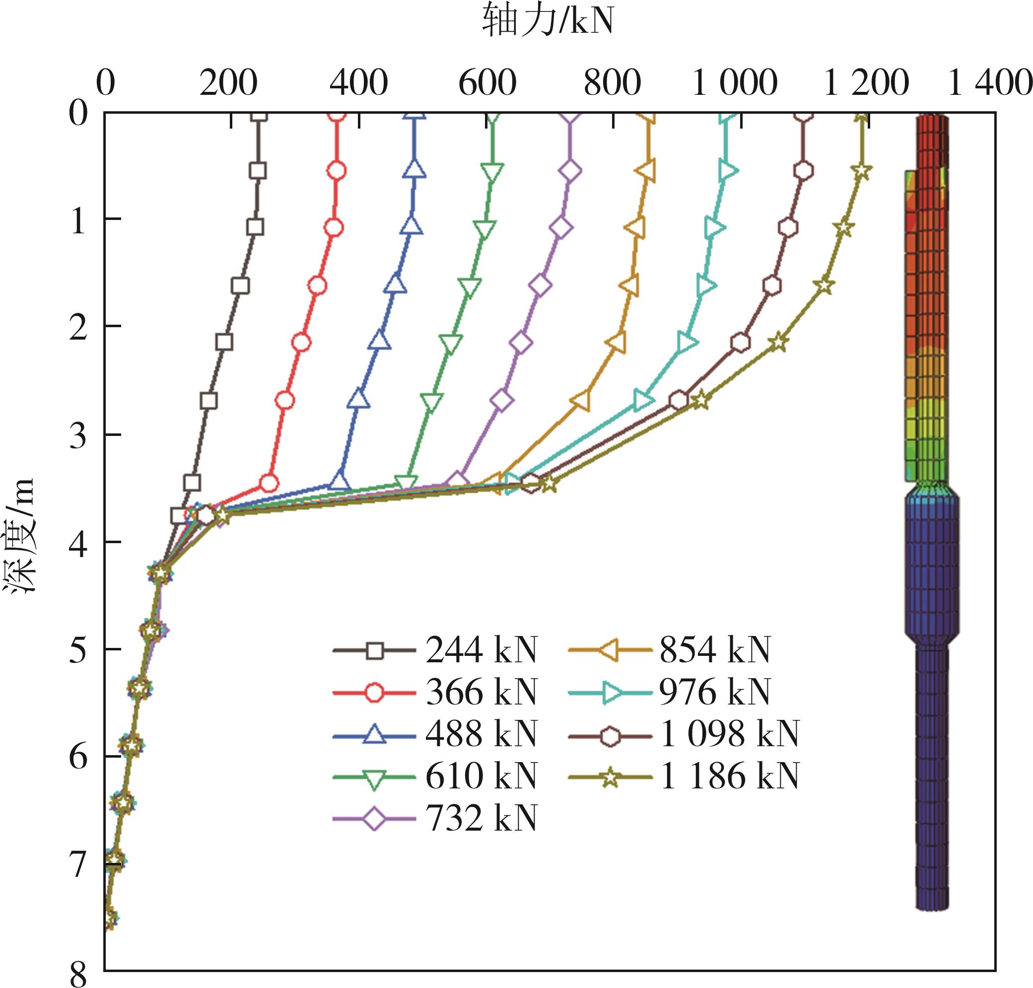
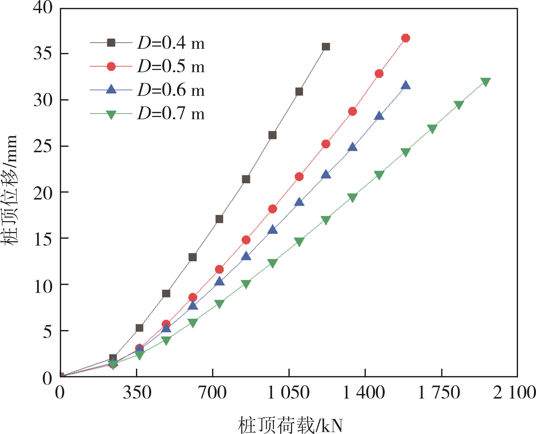
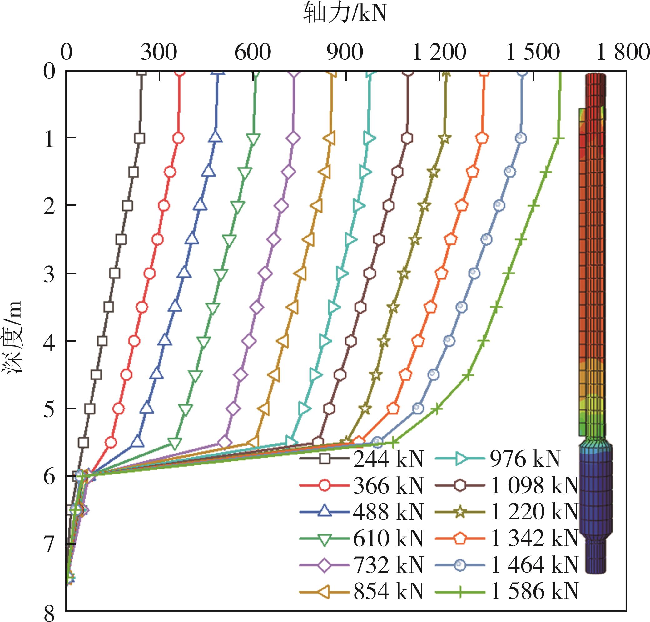
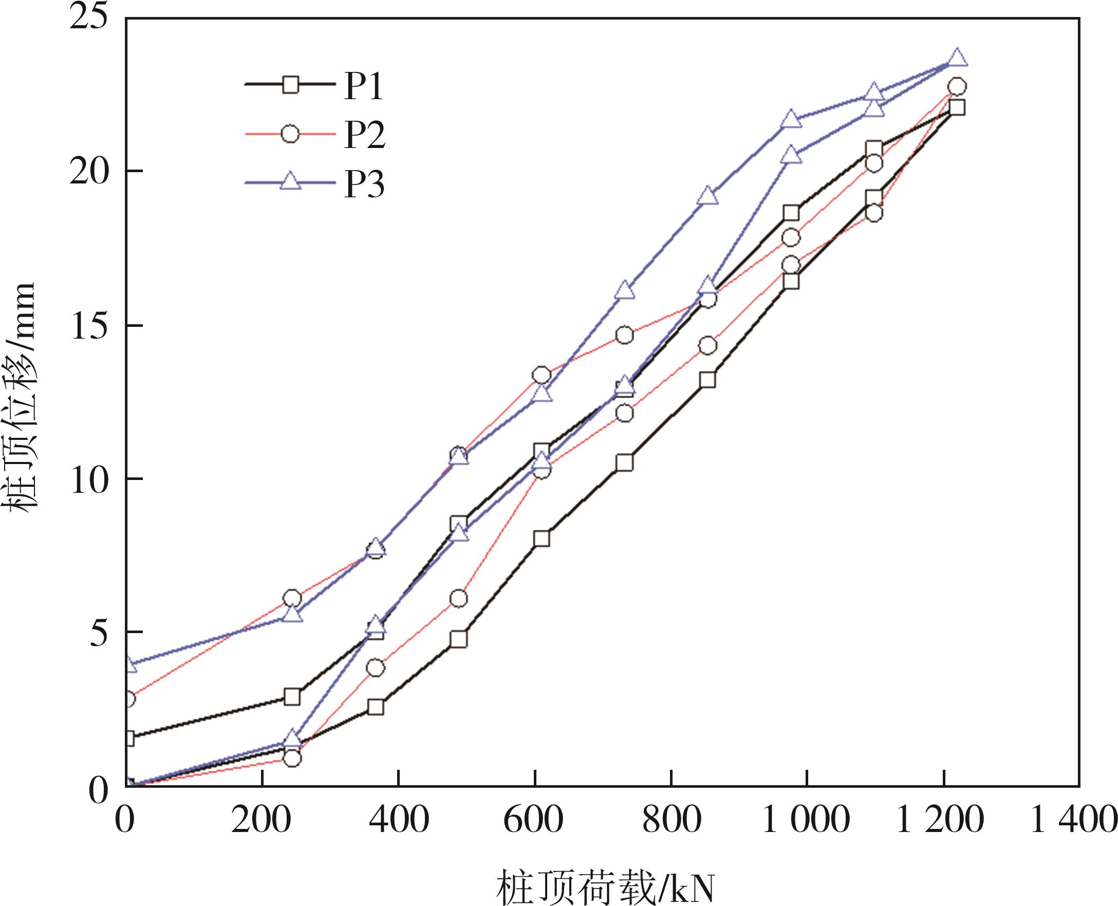
摘要:喷扩锥台压灌桩为笔者研发的一种新型桩,因具有单桩承载力高、变形小等优点而在实际工程中得到广泛应用. 为研究喷扩锥台压灌桩抗拔承载特性,开展了喷扩锥台压灌桩的静载试验,建立了竖向上拔荷载作用下喷扩锥台压灌桩承载性能三维有限元数值计算模型,根据现场静载试验结果验证了数值模拟结果的可靠性. 根据有限元数值计算结果分析了双锥台扩径体位置、长细比、直径和锥台角度等因素对喷扩锥台压灌桩抗拔承载特性的影响,揭示了喷扩锥台压灌抗拔桩破坏模式和双锥台扩径体-周围土体的作用机理. 相关研究成果可为喷扩锥台压灌桩的变形与承载力计算方法的建立提供参考.
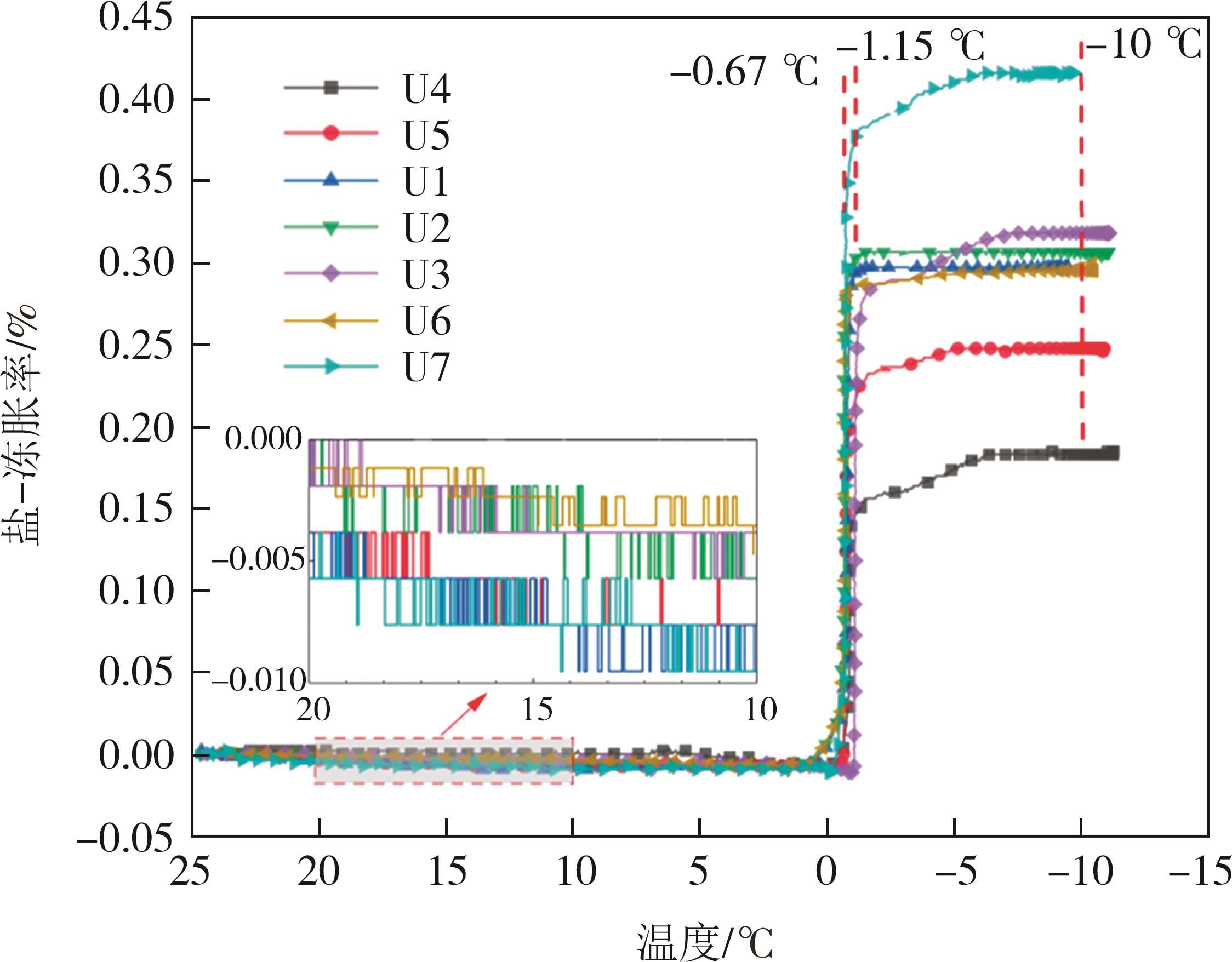
摘要:针对干旱-季节性冻土地区砾质硫酸盐渍土作为高填方道基填料的适用性问题,通过不同工况下的恒温试验和冻融循环试验,深入分析了含盐量、含水率、细粒土含量等因素对砾质硫酸盐渍土填料的水盐迁移和变形特性的影响规律.试验结果表明:含盐量(0.5%~0.9%)、含水率(3.07%~5.07%)和细粒土含量(0.3%~5%)的增加,对砾质硫酸盐渍土冻结温度的影响幅度分别为61.9%、20.9%和4.96%,试验土样的冻结温度范围为-1.15~-0.67 ℃;当试样的级配相同时,随着易溶盐含量的增加,冻结温度逐渐降低,可促进试样中水盐向冷端迁移;当试样的含盐量相同时,细粒土含量从0.3%增至5%,最大变形量提高了62.8%;细粒土含量和含盐量的增加,能促进砾质硫酸盐渍土由沉降变形转向隆起变形;3%细粒土含量试样的总变形量较小,水盐分布近似初始值,相对稳定,建议该地区砾质硫酸盐渍土高填路堤填料应控制细粒土含量不大于3%.
摘要:针对静力裂岩中圆形钻孔裂纹发育随机且致裂效果欠佳的局限性,提出采用具有应力集中及定向致裂潜力的四边形孔作为钻孔,研究其静力裂岩机理并依据尖角应力及能量利用率定量分析试样断裂效果,并运用数字图像相关技术监测其动态断裂过程. 在此基础上,使用PFC2D研究钻孔尖角角度及双孔间距对致裂效果的影响. 结果表明:四边形孔的裂纹扩展方向是可控的,且沿着其锐角尖角角平分线延长线方向发生断裂,根据试样表面裂纹扩展过程中的位移云图,其断裂过程可分为三个阶段:初始阶段、发育扩展阶段、贯通阶段. 钻孔应力集中效应与其形状及尖角角度有关,应力增长速率在梯形孔的尖角为30°时获得最大值,应力集中效应最好. 钻孔形状对能量利用率的影响较小,梯形孔能量利用率较菱形孔稍高,但相差在5%以内;而尖角角度的变化对能量利用率影响较大,当尖角从60°减小为30°时,菱形孔能量利用率提升19.63个百分点,梯形孔提升17.63个百分点. 单孔模拟试验中,菱形、梯形孔在尖角为60°时裂纹宽度最大,总体断裂效果最好;双孔联合致裂模拟试验中,双菱形、梯形孔间距为试样长度1/3时,断裂效果最佳.
摘要:为满足对历史建筑混凝土构件进行加固时“较小干预”和“材料相容”的原则要求,提出利用钢板网-高性能砂浆进行薄层加固的方法. 开展了采用该方法对混凝土设计强度为C20的钢筋混凝土柱试件进行加固后的小偏心荷载受压试验研究. 试验结果表明,钢板网层数和加固层砂浆厚度的增加能显著提高试件的承载力,试件的延性也得到了提升. 试件破坏时,加固层砂浆的裂缝主要集中在受压面、受压区角部以及两侧面靠近受压区的部位,这表明加固层在受压侧的围箍约束作用明显. 考虑钢板网-高性能砂浆约束作用对基体混凝土受压强度的提升效应,对加固后的小偏心受压柱进行了正截面极限状态分析,求得的极限承载力计算值与试验值较为吻合.
摘要:铸钢相贯节点整体性好、应力集中水平低,在空间结构中得到广泛应用. 然而,现行规范缺少此类节点的承载力计算公式,工程师需要进行有限元分析完成节点的安全校核,并通过试错寻找合理的设计方案. 为提高铸钢相贯节点的设计效率与设计质量,本文首先提出了一种新的形状优化方法,基于细分曲面实现了节点参数化几何模型的构建,通过ABAQUS二次开发实现了节点的自动化有限元分析,并采用遗传算法对节点的几何形状进行调整. 其次,分别采用线性加权法、折中规划法、ε-约束法和最大值最小化法4种目标合并方法构造了多工况优化问题的目标函数,将多工况优化问题转化为单目标优化问题. 最后,将上述方法应用于某柱面网壳中的铸钢相贯节点.结果表明,所提出的方法能够在不显著增加节点体积的前提下,使节点峰值Mises应力下降44%~60%,有效降低了节点的应力水平. 同时,4种目标合并方法中,最大值最小化法能够对各工况的受力需求做出最有效的兼顾,使节点在不同的荷载工况下具有相近的峰值Mises应力,从而使材料得到最充分的利用.
王威 ?,唐家璇 ,李昱 ,柳国良 ,唐新耀 ,邱程宣 ,钱源明
摘要:PEC柱具有稳定性好、预制化程度高的优点,在其中加入钢纤维可有效抑制混凝土裂纹的发展. 以锚固长度和钢纤维掺量为变量,设计了8个波形腹板钢纤维PEC柱试件并进行推出试验,研究了其界面黏结滑移性能. 结果表明:钢纤维混凝土试件在荷载下降段界面裂纹贯通,试件破坏模式均为界面自然黏结力失效破坏;当钢纤维掺量一定、锚固长度为650 mm时,界面黏结性能最佳;在混凝土中加入钢纤维可提升黏结性能,随着钢纤维掺量增大,初始滑移荷载与初始强度随之增大,极限荷载先减后增,当钢纤维掺量为1.5%时,极限强度达到最小值而残余强度达到最大值;钢板翼缘应变在荷载上升段随锚固长度近似呈指数分布,波形腹板应变呈波浪形;通过线性回归拟合得出试件特征黏结强度的计算式,将计算值与试验值对比,发现误差较小,可为波形腹板钢纤维PEC柱的承载力设计及应用提供参考.
邓友生 ,,肇慧玲 ,?,赵明华 ,刘晓明 ,姚志刚 ,,庄子颖 ,
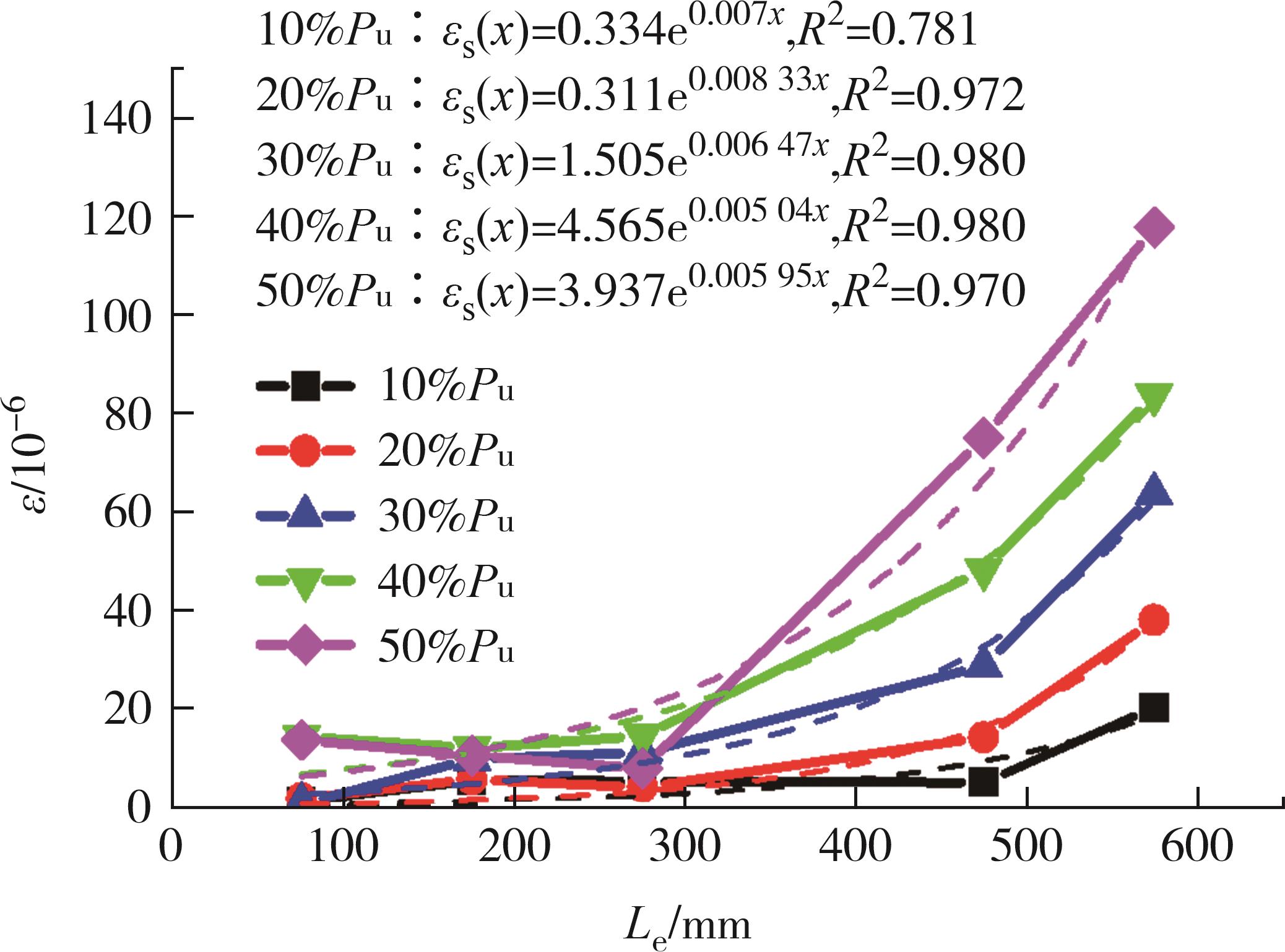
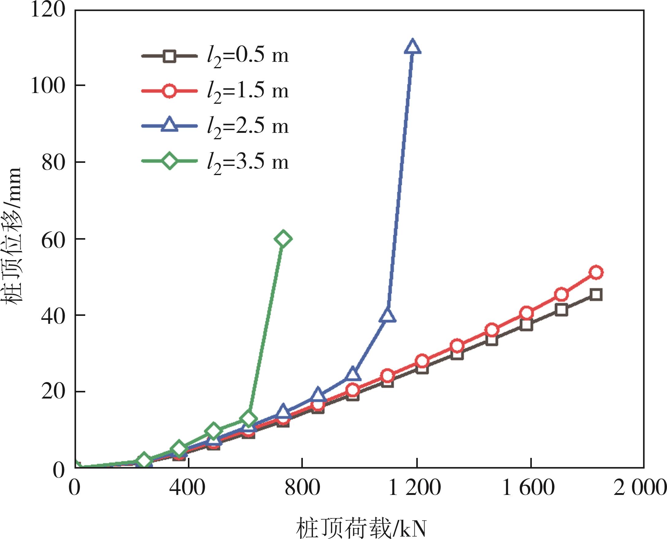
摘要:螺槽桩是一种经济低碳的新型预制桩,通过桩侧特殊螺槽结构改善桩体承载性能. 通过模型试验与有限元计算,分析螺槽桩与等截面桩荷载传递特性差异,引入材料利用率概念,探讨不同螺槽参数下桩体承载特性. 结果表明:螺槽桩竖向沉降曲线呈缓变趋势,其极限承载力为等截面桩的1.85倍,材料利用率为等截面桩的2.85倍;螺旋形槽体构造增大了桩-土接触面积,提升了侧阻力,螺槽端与桩端形成多点端阻承载模式增强端承力;增加螺槽内径桩体承载能力(提升了337.2%),然而材料利用率比下降了133.8%;存在最优螺槽间距使得材料高效利用,螺槽厚度与内径比大于1时会导致材料利用率降低;增大螺槽宽度可显著提升螺槽桩承载能力,但会导致材料利用率出现先增后减的趋势.
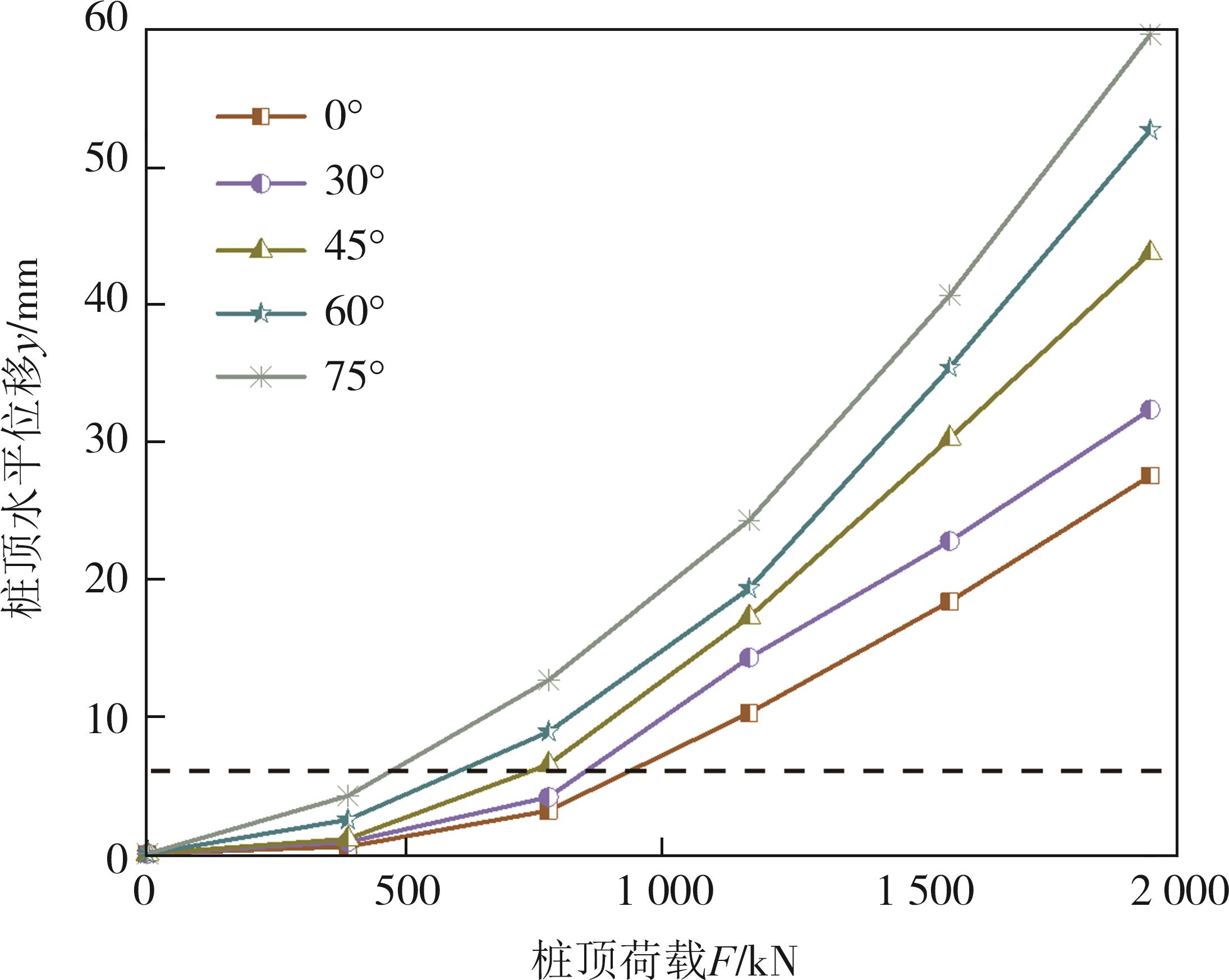
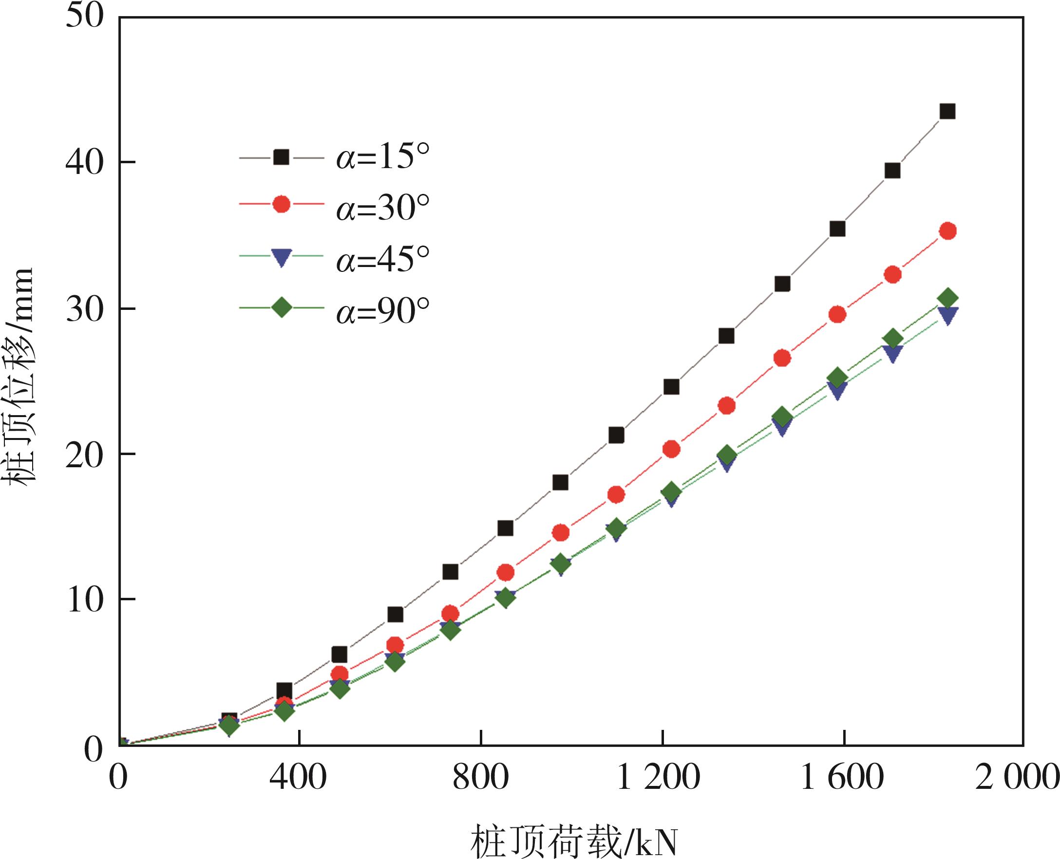
摘要:为研究陡坡岩溶发育区桥梁桩基水平承载特性,以高速公路工程为依托,采用离心模型试验,研究了桩基础穿越溶洞且处于陡坡地段时,在水平荷载作用下地基坡度变化对桩基础极限承载力、桩身弯矩以及桩侧土抗力的影响. 结果表明,桩基础的水平极限承载力随地基坡度增大而减小. 坡度小于30°时,桩基础的水平极限承载力减幅小于10%;坡度大于30°后,桩基础的水平极限承载力和桩顶水平位移受到显著影响. 桩身弯矩沿埋深方向先逐渐增大后逐渐减小至零,嵌岩层内衰减速度最大,弯矩最大值出现在距桩顶2.5~5倍桩径范围内. 随坡度增大,桩身弯矩最大值逐渐增大,最大弯矩的位置逐渐下移. 桩侧土抗力沿桩基埋深先增大后减小至零,土抗力最大值出现在距桩顶2.5~5倍桩径范围内. 随荷载增大,桩侧土抗力最大值的深度逐渐下移. 不同地基坡度下桩侧土抗力均表现出桩前小、桩后大的规律,土抗力差异集中在距桩顶2.5~5倍桩径范围内.
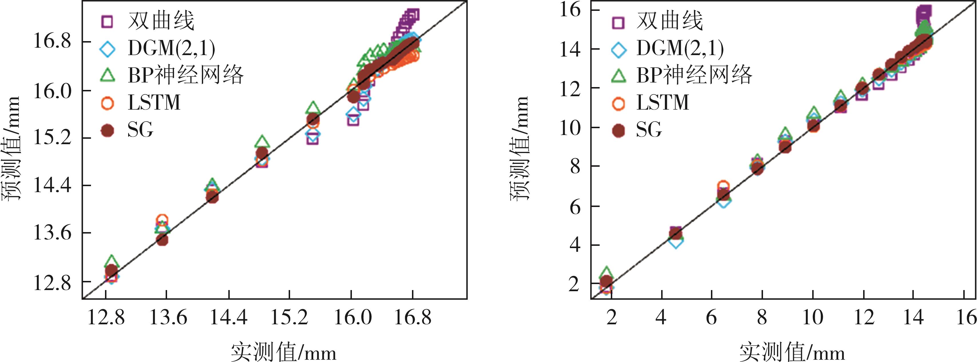
摘要:在降雨入渗和交通荷载影响下,路基内部填筑软岩易发生持续的颗粒破碎、迁移及重新排列,进而引发路基产生不均匀沉降. 沉降变形是评估路基稳定性与安全性的关键指标,开展路基沉降预测是预防道路失稳或病害的重要手段. 然而,传统单一预测模型通常缺乏良好的普适性与泛化能力,难以适用于不同工况条件下的路基工程. 因此,收集并分析了18个公路和铁路软岩填方路基工程的沉降监测数据,总结归纳了波浪型、折线型以及抛物线型等多种典型沉降趋势. 在此基础上,基于Stacked Generalization(SG)集成算法,将三类不同领域内的预测模型进行组合,构建了适用于预测软岩填方路基沉降的SG融合模型. 改进后的模型避免了复杂的超参数调整过程,适合直接应用于实际工程. 并使用了Blocked K-Fold训练策略,提高模型的鲁棒性. 在实际监测样本与数据匮乏的小样本条件下,将模型预测结果与多个传统模型进行对比,结果显示,SG融合模型多项误差评价指标显著低于其他模型,针对多个工程的沉降预测精度最高,具有更高的适用性和鲁棒性. 研究成果可为软岩填方路基服役性能评价及工后维护提供理论参考与技术支撑.
孙纬宇 ,?,朱辉 ,梁庆国 ,方登甲 ,严松宏 ,曹小平 ,汪精河
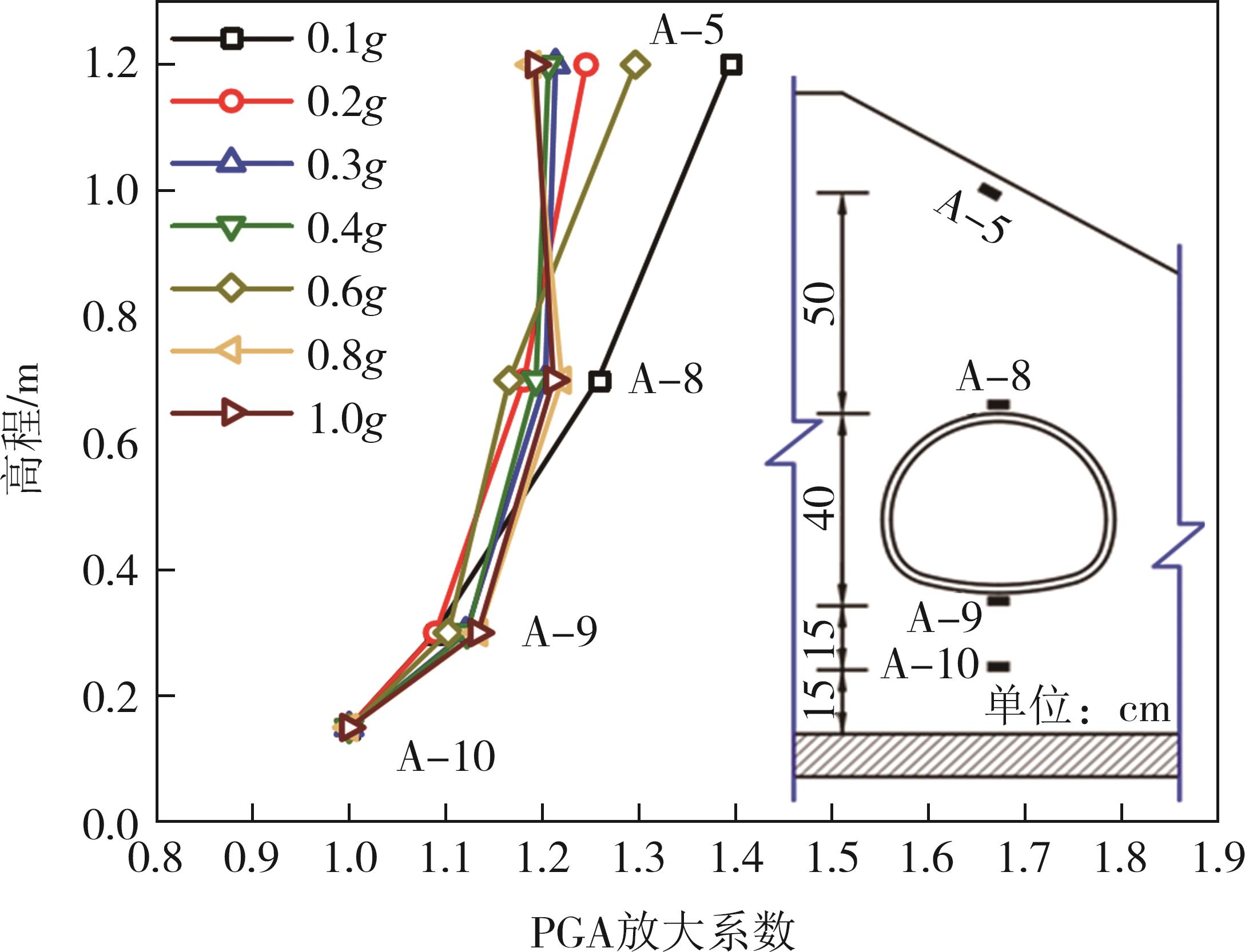
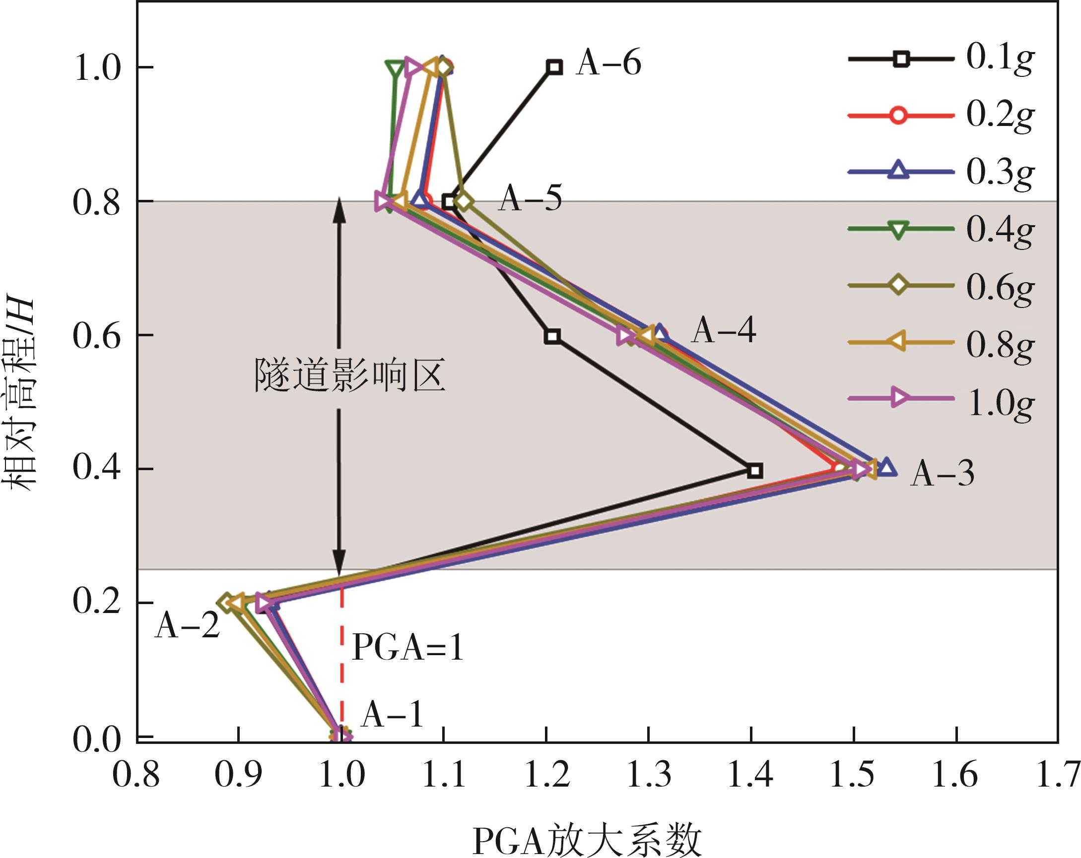
摘要:黄土高原地区强震频发,常发生大规模密集型黄土滑坡. 浅埋偏压黄土隧道因覆盖层厚度小、坡面临空面等因素的影响,地震动放大效应明显,易发生严重震害. 本文基于大型振动台模型试验,对浅埋偏压大断面黄土隧道的震害特征和震害机制进行了系统研究. 结果表明,隧道空腔的存在对坡面加速度放大系数的分布特征影响较大,影响区域主要集中在0.25H~0.80H范围内;坡体内水平向加速度放大系数随高程的增大呈非线性增长趋势,约2/3坡高以下区域加速度放大效应较弱,约2/3坡高以上区域加速度放大效应显著增强;在水平向地震动作用下,偏压隧道衬砌沿右拱腰至左墙脚以及左拱腰至右墙脚共轭45°方向形成贯通拉压裂缝,震害严重;小角度偏压条件下,坡体内部产生了从坡顶贯通至隧道深埋侧墙脚处的连续滑裂面,坡体表面和坡顶产生了局部连续滑移和局部坍塌;隧道空腔的动力放大作用是坡表局部滑裂面形成的主要原因,而地震惯性力与岩土体重力产生的斜向合力是隧道衬砌深埋侧挤入变形、浅埋侧挤出变形的根本原因. 本研究可为浅埋偏压黄土隧道的抗震设计提供参考.
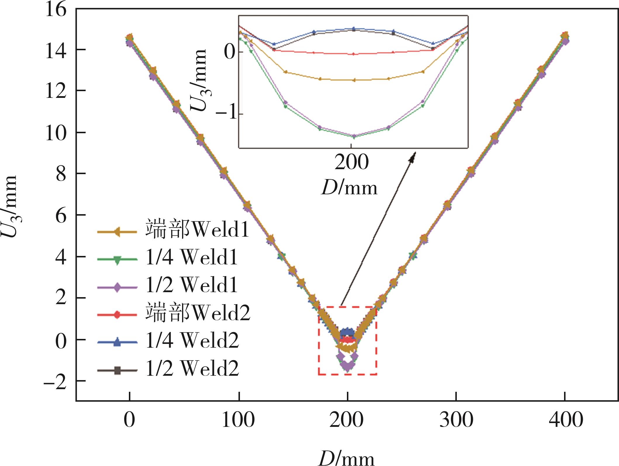
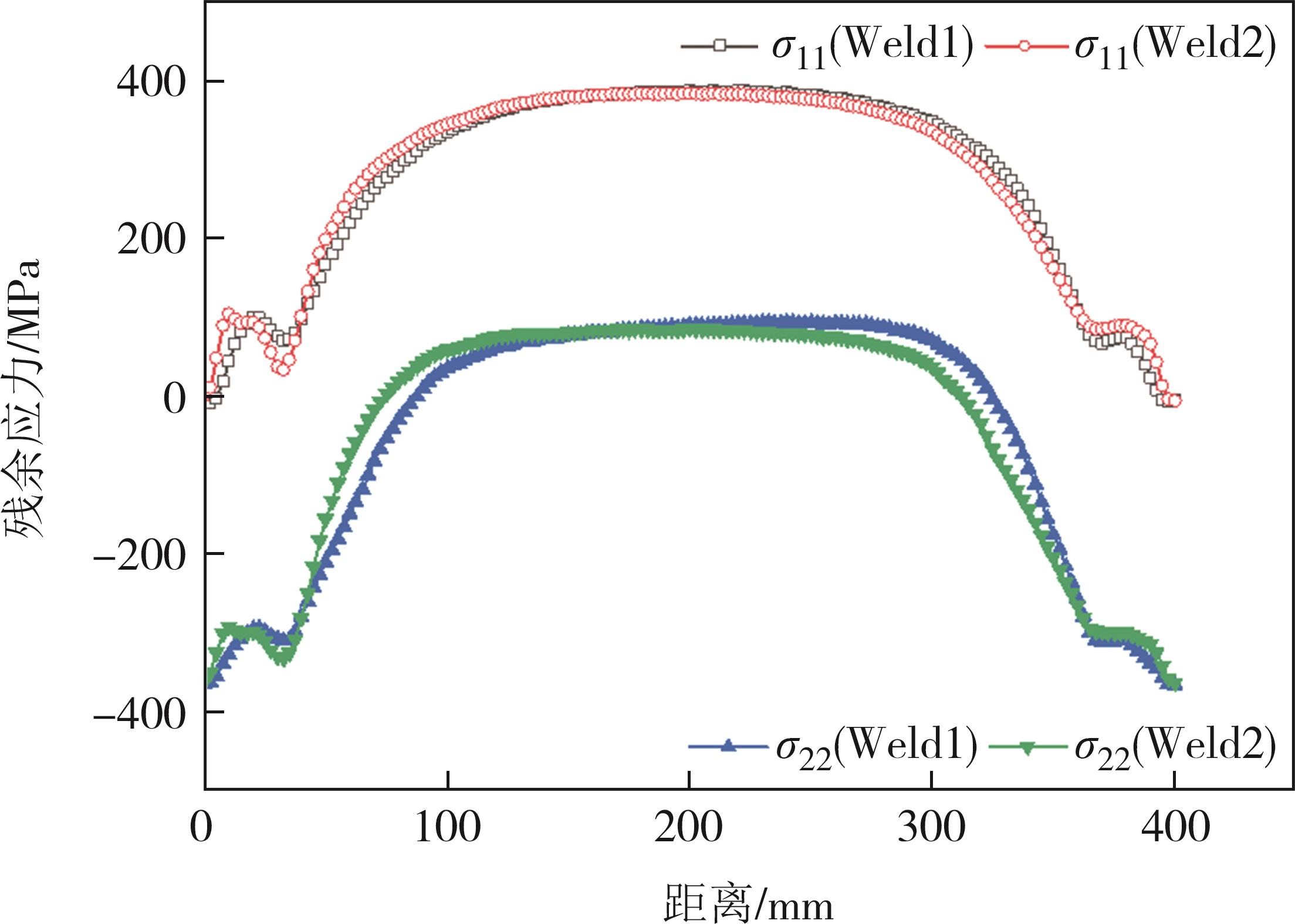
摘要:为了研究钢桥对接焊接接头温度场、残余应力场和变形场的分布规律,利用有限元软件建立16 mm厚桥钢板对接焊缝三维有限元模型,并通过盲孔法试验实测数据对模型的正确性加以验证. 基于此,进一步分析了焊件温度场、残余应力场和变形场的分布规律,并在焊件中引入初始裂缝,探讨了初始缺陷和焊接残余应力对焊缝疲劳寿命的影响. 研究结果表明:沿垂直焊缝方向,纵向残余应力呈现拉-压分布状态,焊缝附近60 mm的热影响区内,主要为拉应力,峰值达415 MPa,超过材料的屈服强度,当远离热影响区时,纵向残余拉应力转变为压应力. 横向残余应力在焊趾处达到峰值205 MPa.在无约束条件下,焊接引起的变形为典型的平面外角变形,随着与焊缝中心的距离增加,各测点的变形呈线性增长,最大变形出现在焊件外边缘,为14.58 mm.即使是较小的残余应力,无论其状态如何,均会影响疲劳寿命. 3%和8%的残余拉-压应力分别导致疲劳寿命降低16.7%和提高68.4%;残余拉应力随着应力的增大导致疲劳寿命降低,但降低速率逐渐衰减. 当拉/压应力数值相近时,压应力对疲劳寿命的影响远大于拉应力. 在实际构件的预制过程中,应通过预变形等方法来控制焊件的变形;焊后通过表面处理技术控制残余拉应力,以提高材料的疲劳寿命和延长结构的使用寿命.
摘要:基于有效工作宽度概念,将桥面板简化成多跨连续梁,主梁对桥面板的约束等效成抗弯弹簧;分析桥面板内某跨的受力性能时,将此跨结构等效成单跨梁,其两侧桥面板对其弯曲约束也等效成抗弯弹簧,建立了主梁扭转和桥面板边跨对等效单跨梁约束的综合等效刚度系数递推公式. 分析了综合等效刚度系数随主梁抗扭刚度与桥面板横向抗弯刚度比的变化规律,导出了两侧抗弯弹簧约束下等效单跨梁在均布荷载、集中荷载和区间均布荷载作用下的支点和跨中的转角、弯矩计算公式,为多跨连续桥面板横向弯矩计算提供了一种简化理论. 结合预应力混凝土工形组合梁为工程背景,分析了模拟自重均布荷载作用、汽车区间均布荷载作用下的桥面板横向弯矩和横向弯矩修正系数,研究了梁高、桥面板厚度、主梁片数和荷载等参数对横向弯矩修正系数的影响. 计算结果表明,横向弯矩的本文理论结果与杆系有限元完全一致,等效单跨梁的简化方法可行;桥面板支点横向弯矩修正系数最大值为0.666 7,小于《公路钢筋混凝土及预应力混凝土桥涵设计规范》(JTG 3362—2018,简称《公预规》)的规定值0.7. 当t/h(桥面板厚度t与主梁高度h之比)<1/4时,横向弯矩修正系数最大值为0.670 3,大于《公预规》的规定值0.5,规范结果偏不安全;当t/h>1/4时,横向弯矩修正系数最大值为0.679 4,小于《公预规》的规定值0.7. 为确保桥面板设计安全,提出了《公预规》关于多跨连续桥面板横向弯矩修正方法应进行深入研究的建议.
李洪强 ,,?,陈治平 ,钱想想 ,蔡澄汉 ,刘甜甜 ,彭逸喆 ,刘丽芳
摘要:针对当前电解锰渣固废的资源化利用不足、工艺复杂、经济附加值较低等问题,为有效消纳和利用电解锰渣,在前期理论分析基础上采用实验的方法,研究了基础原料配比(电解锰渣的质量与电解锰渣及粉煤灰的质量和之比)、碱激发剂配比(水玻璃、氢氧化钠和混合水的用量配比)、发泡剂和稳泡剂的种类与用量等因素对目标保温材料性能的影响. 结果表明:基础原料配比和碱激发剂配比均会对SiO2/Al2O3摩尔比、SiO2/Na2O摩尔比和水灰比产生影响,进而影响试样的力学性能;基础原料配比为0.7、SiO2/Al2O3摩尔比为4.0、SiO2/Na2O摩尔比为2.5、水灰比为0.5时建筑结构材料试样的力学性能最优,其抗压强度为11.15 MPa,密度为 1 476 kg/m3;发泡剂和稳泡剂的种类与用量会对试样的各项性能产生影响,当发泡剂为双氧水,用量为4~6 g,稳泡剂为实验室自制稳泡剂,用量为2 g时,建筑保温材料试样的各项性能最优,其导热系数为0.104~0.131 W/(m·K),抗压强度为0.69~1.49 MPa,密度为433~533 kg/m3,成本为1 294~1 722 元/m3. 该研究为较大量消纳和利用电解锰渣提供了新思路,在满足保温隔热性能的同时降低建筑能源需求,经进一步优化后具有一定的工程应用价值.
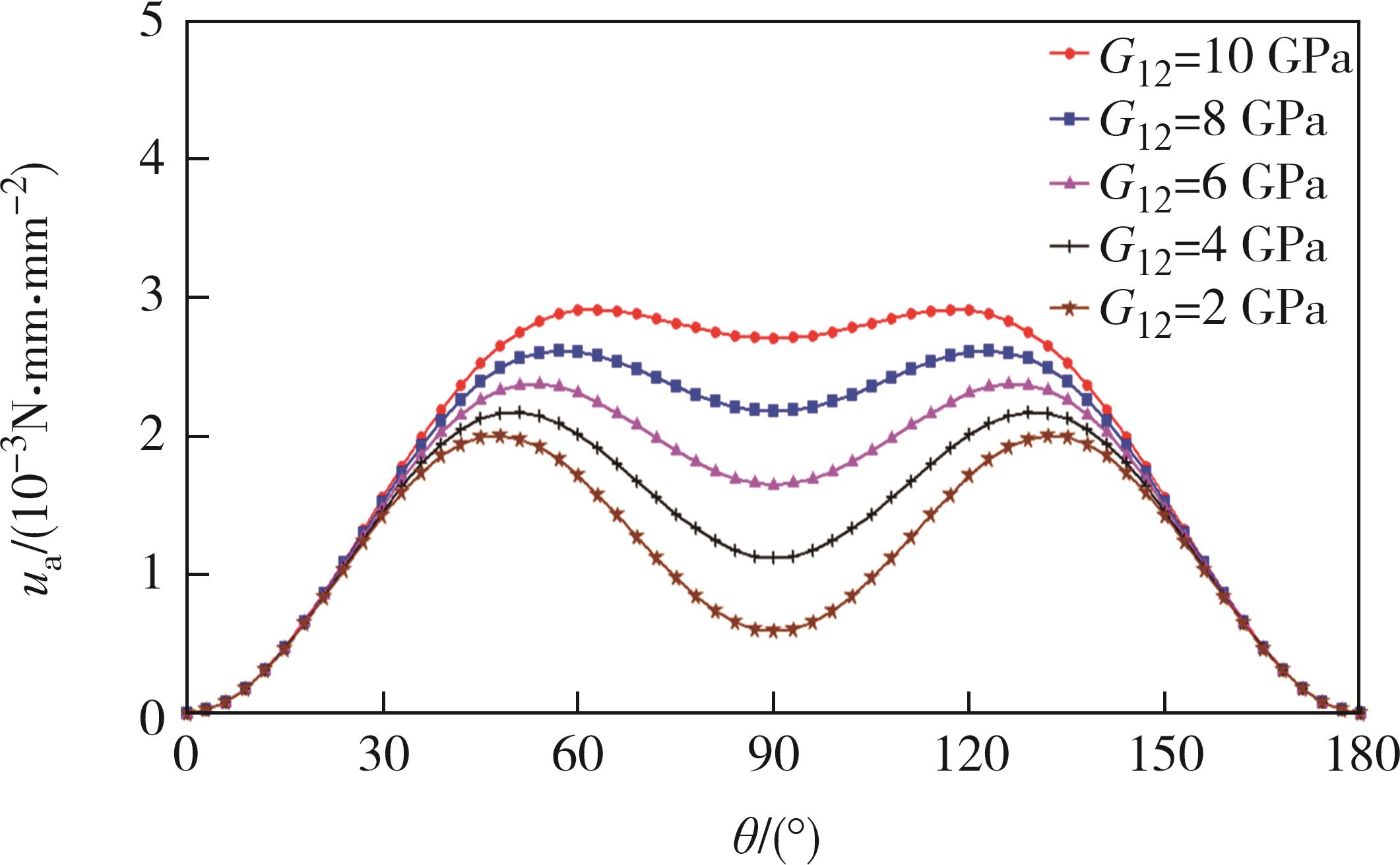
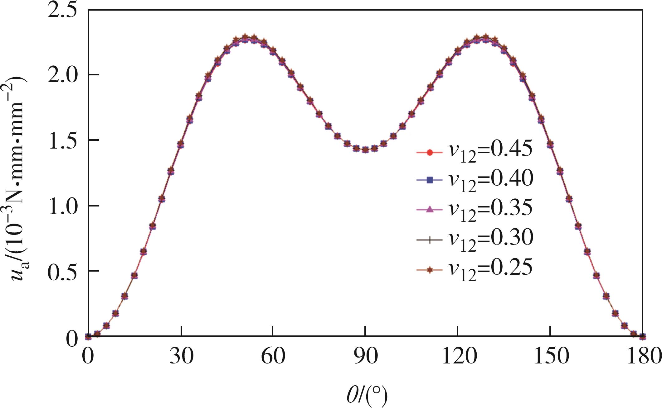
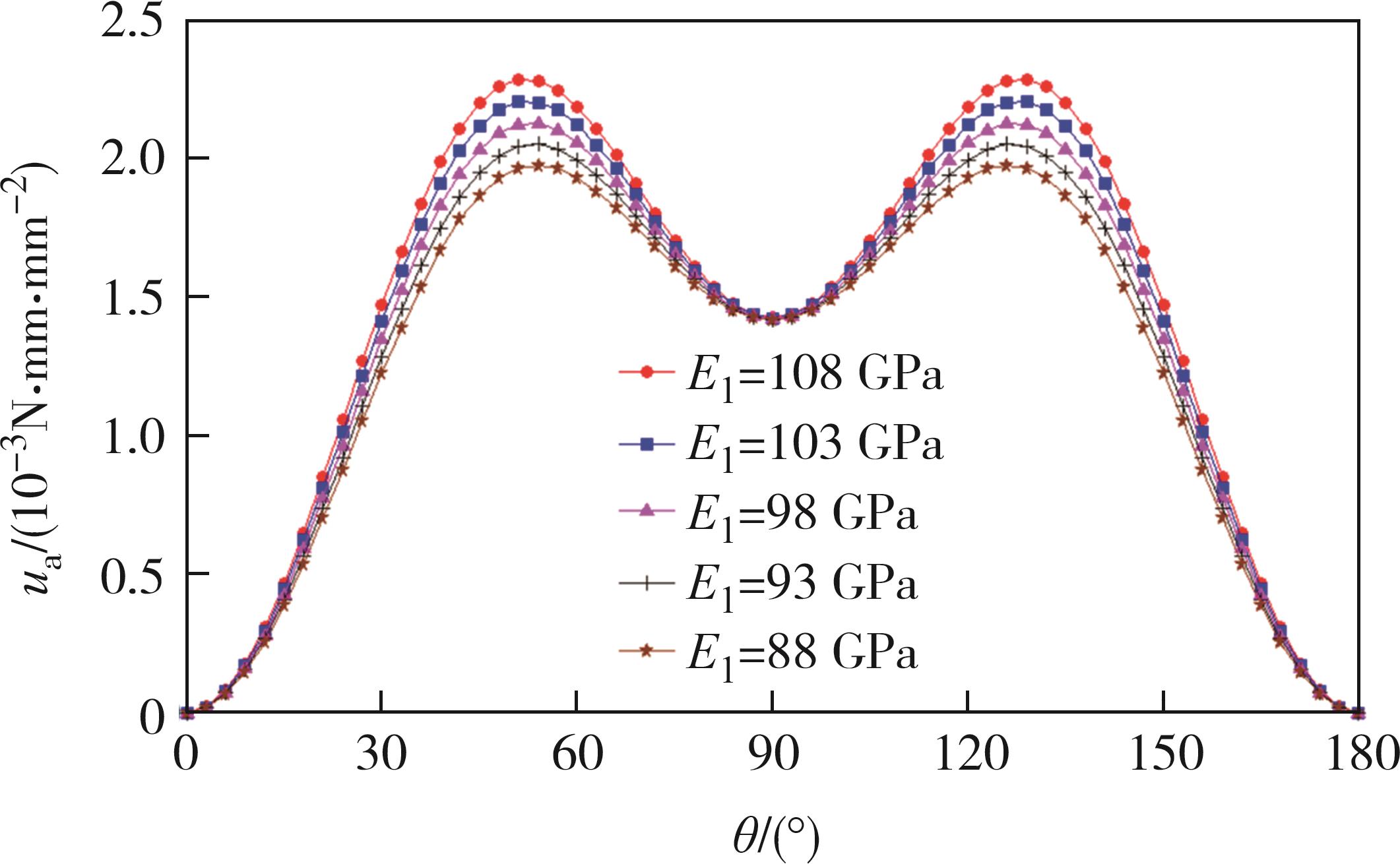
摘要:双稳态复合材料柱壳是一种新型可展开结构,已广泛应用于可折叠机翼、能量收集器及自适应结构等. 当双稳态结构用于复杂工作环境时,结构材料属性将发生性能变化,进而影响结构的双稳态特性. 结合理论研究和数值研究,分析材料属性对复合材料柱壳双稳态特性的影响. 建立反对称铺设复合材料柱壳理论模型,导出结构变形过程中应变能的解析表达式,并分析材料的纵向弹性模量、横向弹性模量、剪切模量和泊松比等特征常数对柱壳结构应变能、主曲率和扭曲率的影响. 结果表明,材料的纵向弹性模量和横向弹性模量的变化对双稳态柱壳结构的单位面积应变能和第二稳态主曲率均有明显影响,另外剪切模量G12从10 GPa到2 GPa,单位面积应变能减少约72.98%,泊松比对第二稳态性能几乎没有影响.
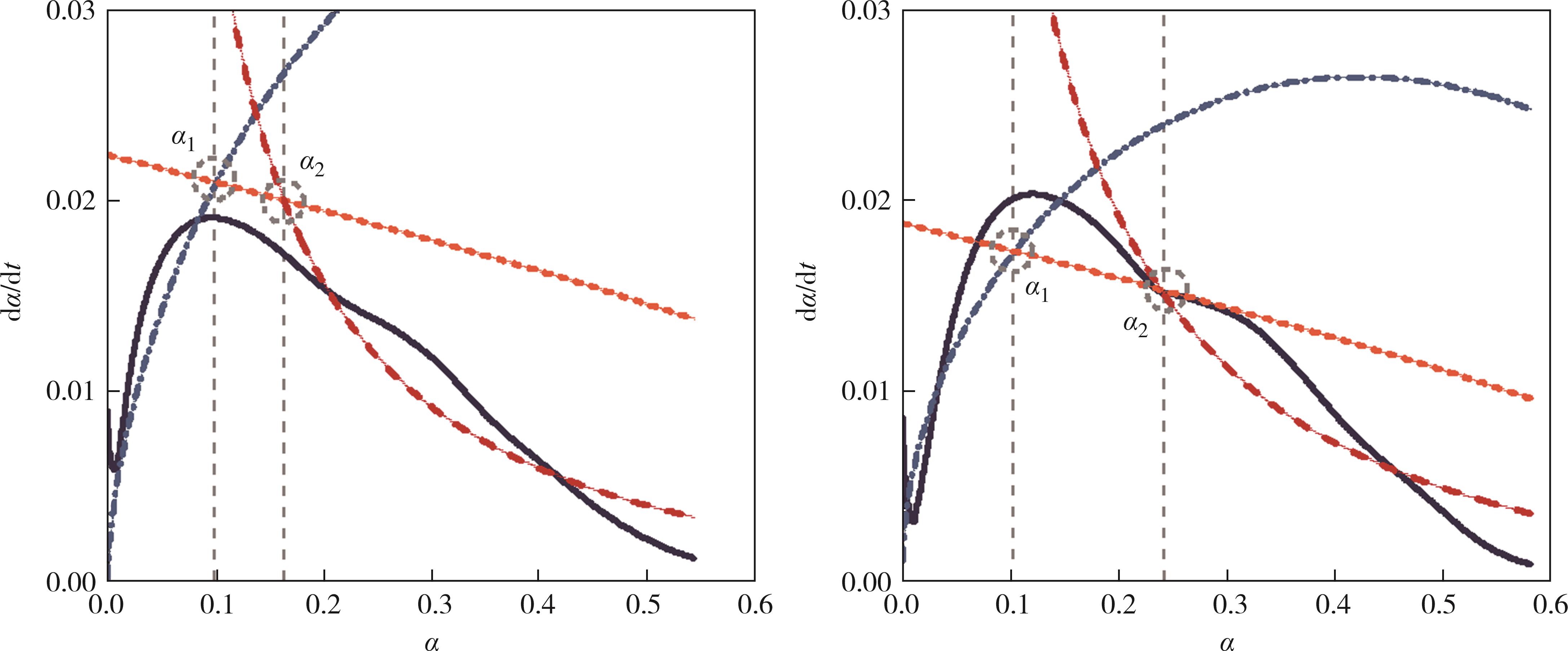
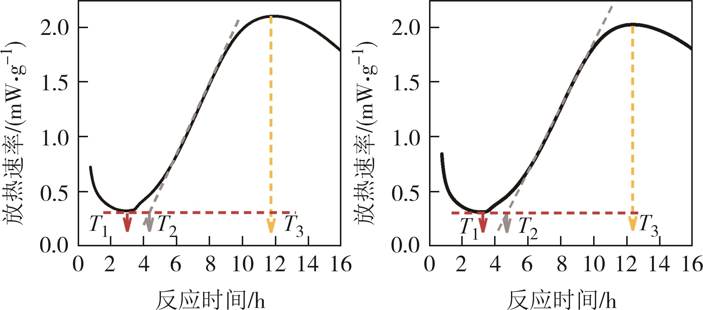
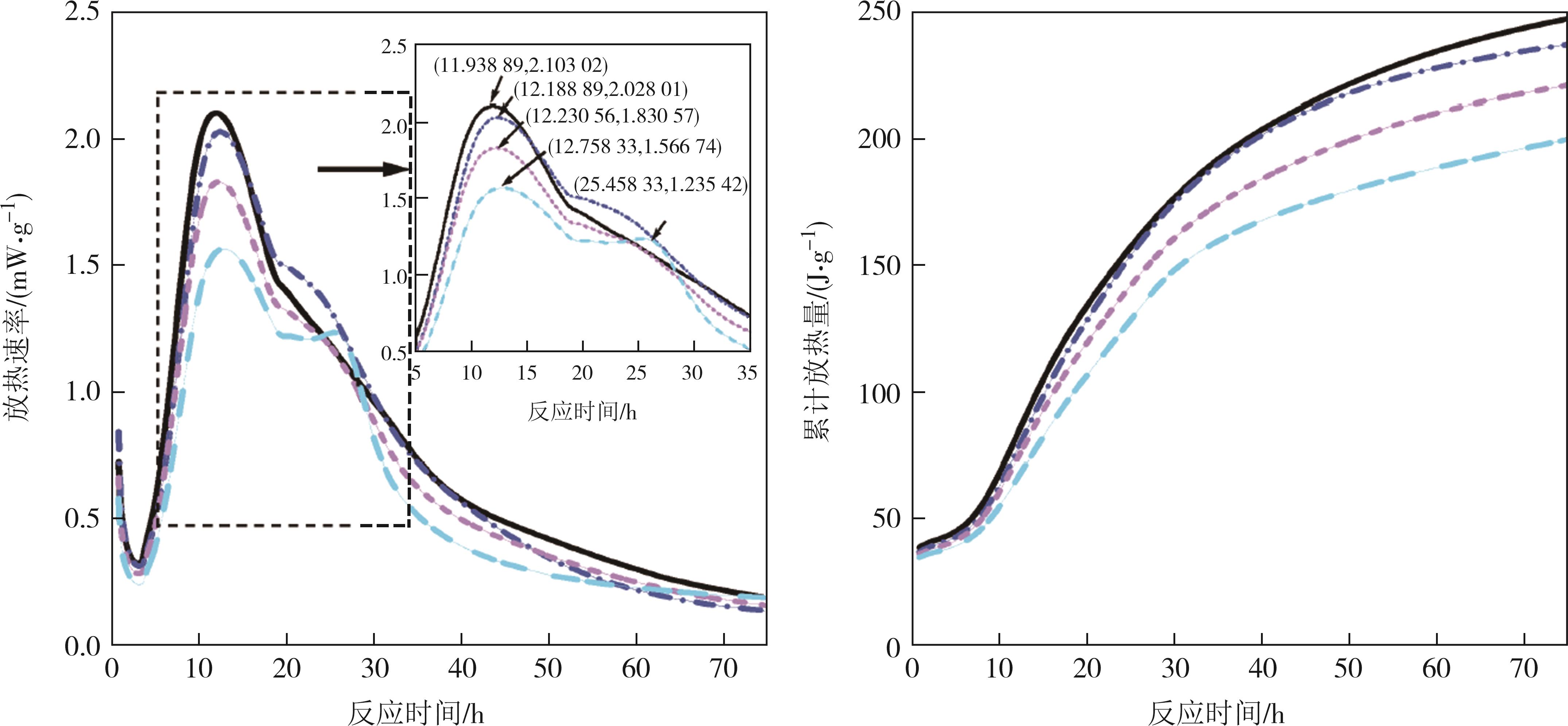
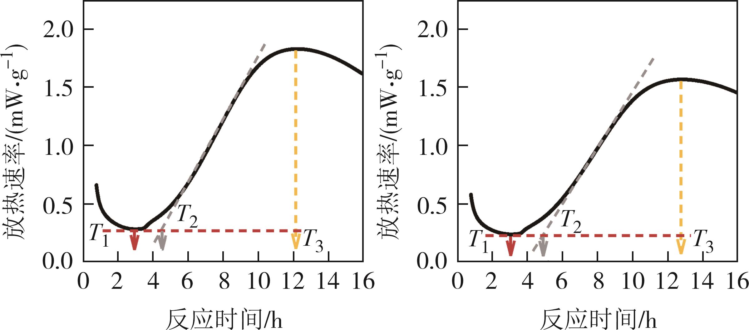
摘要:镍渣提铁尾渣(FETNS)是冶金废渣镍铁渣(FNS)经提铁处理后的二次尾渣.通过等温传导量热法测试FETNS-水泥复合胶凝体系的水化热,利用Krstulovic-Dabic模型构建水化动力学模型. 通过宏观和微观两种手段探究复合胶凝体系的基本性能、反应产物和元素溶出. 结果表明,该水化动力学模型可以准确地反映FETNS对水化反应的影响,FETNS的掺入降低了水化过程中晶体成核与生长、相界面反应和扩散三个阶段的反应速率和反应程度. FETNS的掺入降低了活性元素的溶出,推迟了复合胶凝体系的凝结,抑制了水化反应产物的生成,增大了体系内部结构的有害孔含量,大幅降低了早期抗压强度.
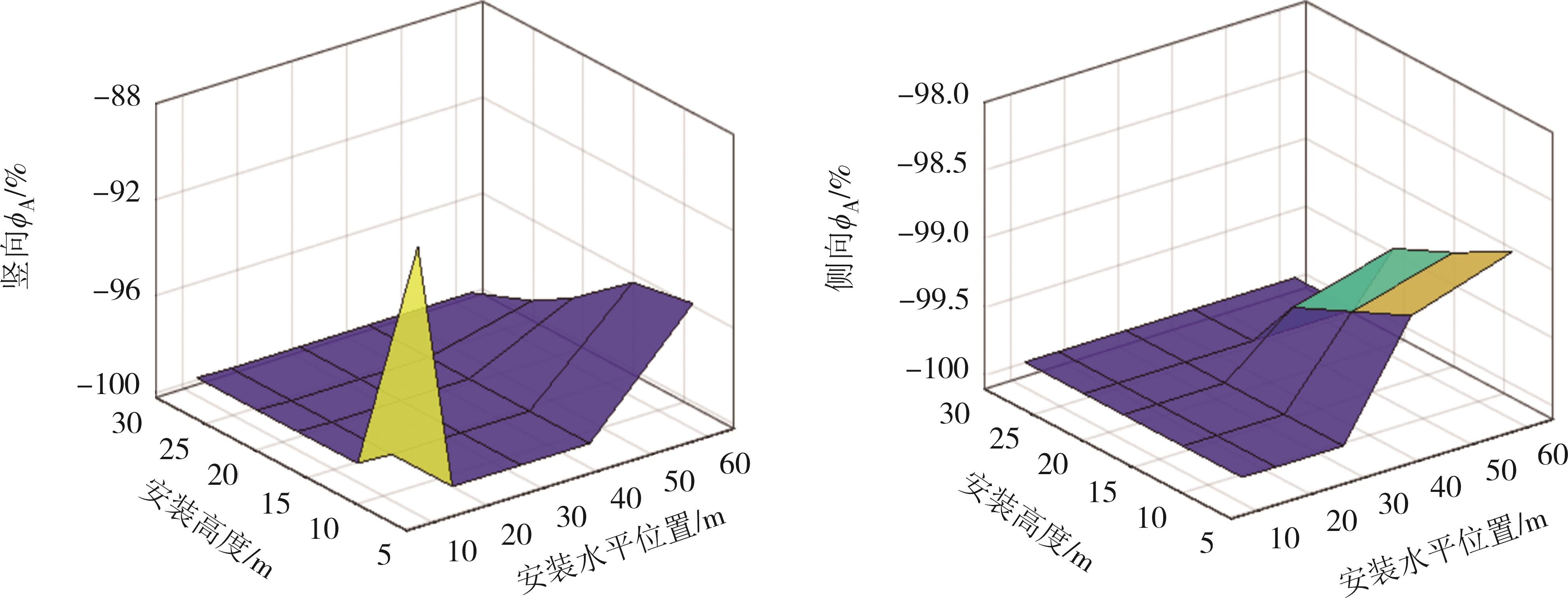
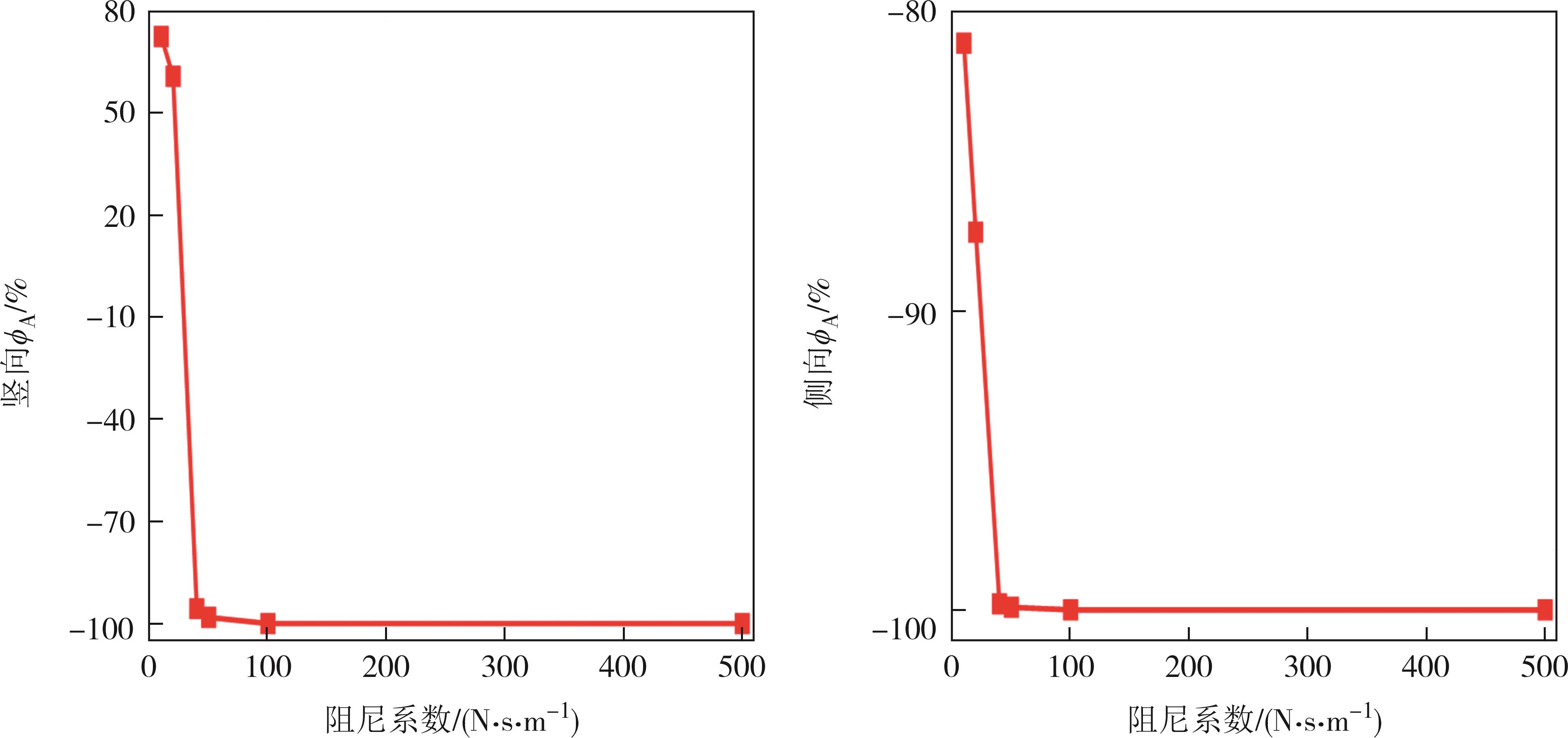
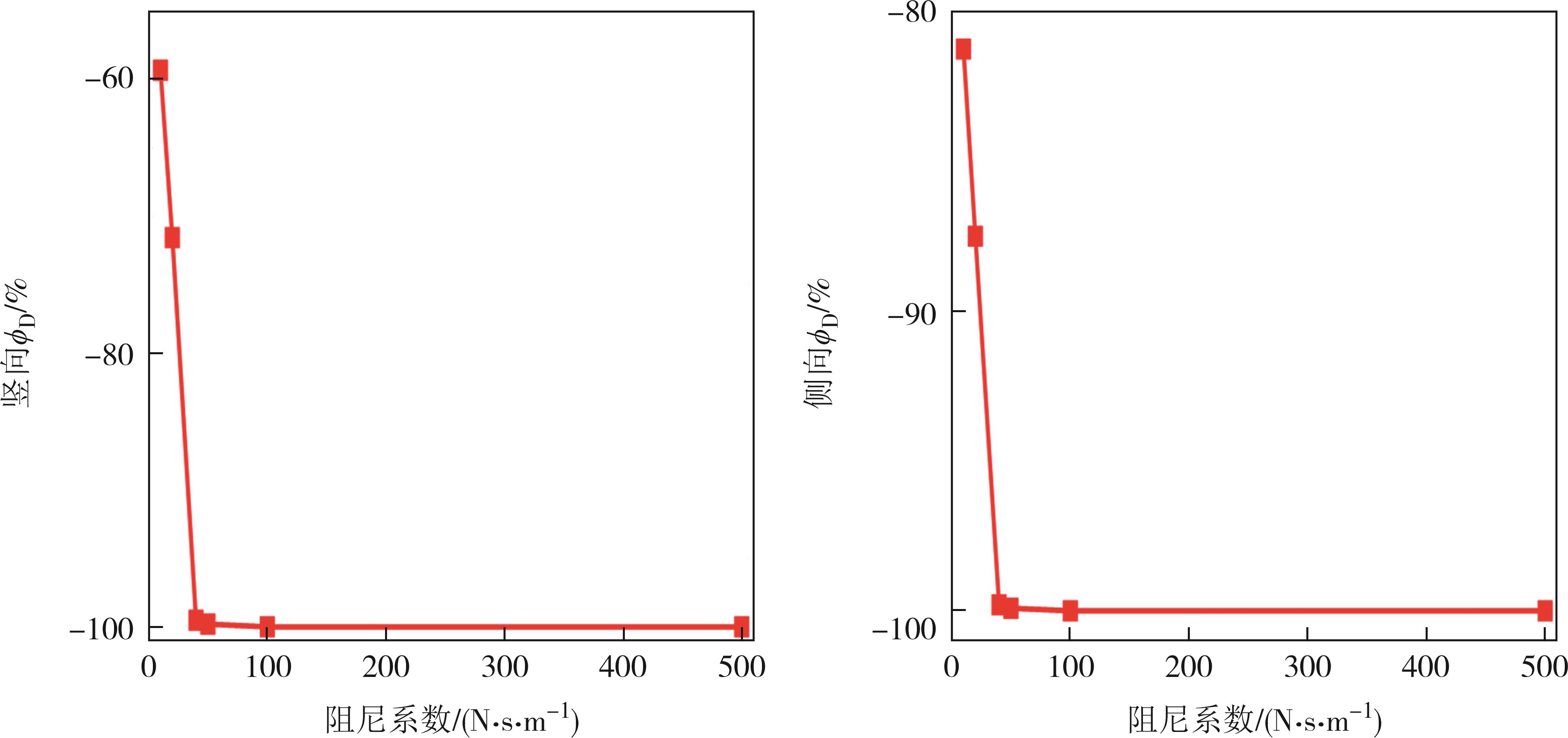
摘要:基于空间曲梁理论的应变-位移关系,建立了四自由度的覆冰单导线舞动模型,利用虚功原理构建了覆冰单导线的动力学方程. 通过数值计算对单元无关性进行了检验并分析了模态截断对舞动响应的影响,验证了模型的准确性. 此外,将复合阻尼索用于输电线的防舞,建立了覆冰单导线-复合阻尼索结构的非线性振动控制有限元方程,并分析了相关参数对输电线舞动幅值的影响. 研究结果表明,覆冰单导线舞动模型可以预测输电线的舞动响应. 复合阻尼索可以有效抑制单导线的舞动且减振率达到了85%以上. 当提高复合阻尼索的安装高度时,其减振性能会得到增强. 然而,在固定安装高度下,随着阻尼索的水平位置逐渐向导线跨中移动,减振效果会经历一个先提升后降低的过程,表明存在一个最佳的安装点. 同时适当地提高主索刚度和减小复位弹簧刚度可以提升复合阻尼索的减振效果;另外适当地增加阻尼系数和主索质量,复合阻尼索减振效果会更好.
地址: 邮政编码:410082
联系电话:0731-88822870 传真:0731-88821734 E-mail:hdxuebao@ijournals.cn
版权所有:湖南大学学报(自然科学版)中文版 ® 2026 版权所有 技术支持:北京勤云科技发展有限公司 ICP:
今日访问量: 总访问量: